文库 教育教学 教育技术

教育APP在农村小学的应用情况研究——以W小学为例-12092字.docx

DOCX   21页   下载0   2025-10-28   浏览34   收藏0   点赞0   评分-   14253字   6积分
温馨提示:当前文档最多只能预览 10 页,若文档总页数超出了 10 页,请下载原文档以浏览全部内容。
教育APP在农村小学的应用情况研究——以W小学为例-12092字.docx 第1页
教育APP在农村小学的应用情况研究——以W小学为例-12092字.docx 第2页
教育APP在农村小学的应用情况研究——以W小学为例-12092字.docx 第3页
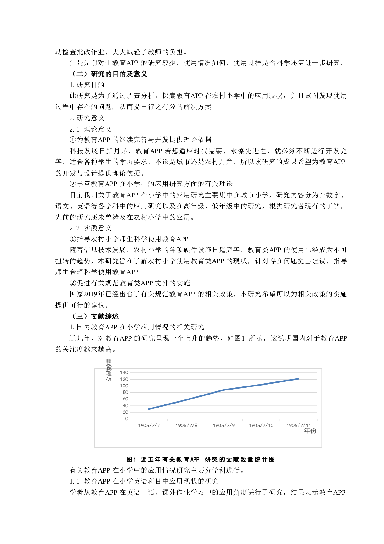
教育APP在农村小学的应用情况研究——以W小学为例-12092字.docx 第4页
教育APP在农村小学的应用情况研究——以W小学为例-12092字.docx 第5页
教育APP在农村小学的应用情况研究——以W小学为例-12092字.docx 第6页
教育APP在农村小学的应用情况研究——以W小学为例-12092字.docx 第7页
教育APP在农村小学的应用情况研究——以W小学为例-12092字.docx 第8页
教育APP在农村小学的应用情况研究——以W小学为例-12092字.docx 第9页
教育APP在农村小学的应用情况研究——以W小学为例-12092字.docx 第10页
剩余11页未读, 下载浏览全部
教育 APP 在农村小学的应用情况研究——以W小学为例 摘要: 随着信息技术的发展,教育 APP 作为现代化教学手段逐渐得到了普及 。 本文以农村小学为研究对象,通过问卷 调查法 和访谈 法 ,发现了教育 APP 在农村小学使用过程中存在的问题主要有农村小学生的自我控制能力弱,主动学习的意识薄弱;学生家长的监督不到位;农村教师的教育理念和教学方式不够先进等。针对这些问题,本文分别从学校、教师、家长和学生四 个 方面提出了有效的改进策略和建议。 关键词: 教育 APP 农村 小学生 绪论 (一)问题的提出 1.信息技术发展 随着智能手
教育APP在农村小学的应用情况研究——以W小学为例-12092字.docx