文库 化学与材料工程 生物科学

消毒剂处理对水培白掌生长的影响-9213字.docx

2022及前全 DOCX   19页   下载0   2026-01-05   浏览12   收藏0   点赞0   评分-   12567字   20.00
温馨提示:当前文档最多只能预览 10 页,若文档总页数超出了 10 页,请下载原文档以浏览全部内容。
消毒剂处理对水培白掌生长的影响-9213字.docx 第1页
消毒剂处理对水培白掌生长的影响-9213字.docx 第2页
消毒剂处理对水培白掌生长的影响-9213字.docx 第3页
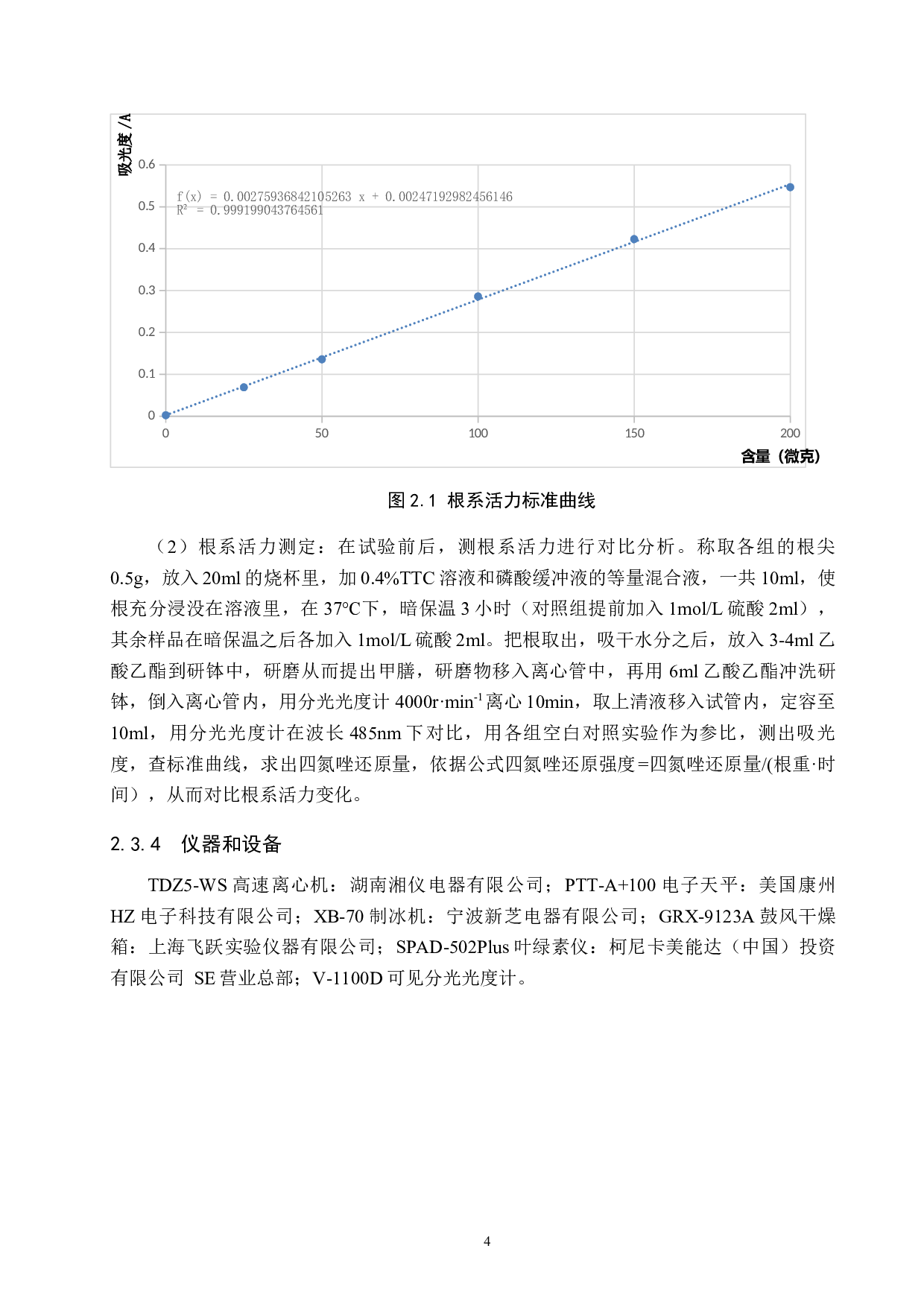
消毒剂处理对水培白掌生长的影响-9213字.docx 第4页
消毒剂处理对水培白掌生长的影响-9213字.docx 第5页
消毒剂处理对水培白掌生长的影响-9213字.docx 第6页
消毒剂处理对水培白掌生长的影响-9213字.docx 第7页
消毒剂处理对水培白掌生长的影响-9213字.docx 第8页
消毒剂处理对水培白掌生长的影响-9213字.docx 第9页
消毒剂处理对水培白掌生长的影响-9213字.docx 第10页
剩余9页未读, 下载浏览全部
摘 要 本文采用白掌为试验材料,用不同的消毒剂(多菌灵、拖布津、百菌清、高锰酸钾、次氯酸钠)和这五种消毒剂各三个浓度梯度对白掌根部进行消毒处理,进行水培实验,对15天内白掌生长状况进行观察记录,记录指标有根长、根数、叶长、叶数、株高、叶绿素含量、根系活力,最后分析对水培白掌生长效果最佳处理消毒剂种类和浓度,从而对减缓水培植物烂根和增强水培白掌生长效果提供理论参考。 试 验结果表明:水培白掌非常容易烂根,从而影响植株整体的生长状况。经过15天的培养,记录分析水培白掌各项指标后,对 平均根长的影响方面,多菌灵浓度0.1%
消毒剂处理对水培白掌生长的影响-9213字.docx