文库 全国硕士研究生统一招生考试 数学

2024-2025李林模拟卷精选(数三)答案.pdf

PDF   81页   下载0   2025-11-04   浏览14   收藏0   点赞0   评分-   22035字   6积分
温馨提示:当前文档最多只能预览 10 页,若文档总页数超出了 10 页,请下载原文档以浏览全部内容。
2024-2025李林模拟卷精选(数三)答案.pdf 第1页
2024-2025李林模拟卷精选(数三)答案.pdf 第2页
2024-2025李林模拟卷精选(数三)答案.pdf 第3页
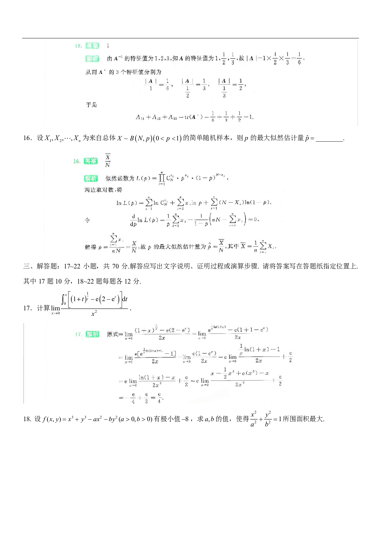
2024-2025李林模拟卷精选(数三)答案.pdf 第4页
2024-2025李林模拟卷精选(数三)答案.pdf 第5页
2024-2025李林模拟卷精选(数三)答案.pdf 第6页
2024-2025李林模拟卷精选(数三)答案.pdf 第7页
2024-2025李林模拟卷精选(数三)答案.pdf 第8页
2024-2025李林模拟卷精选(数三)答案.pdf 第9页
2024-2025李林模拟卷精选(数三)答案.pdf 第10页
剩余71页未读, 下载浏览全部
目录 2024李林模拟卷精选(数三)卷一答案 ...................................................................................................................... 3 2024李林模拟卷精选(数三)卷二答案 .................................................................................................................... 14 2024李林模拟卷精选(数三)卷三答案 .................................................................................................................... 25 2025李林模拟卷精选(数三
2024-2025李林模拟卷精选(数三)答案.pdf