文库 计算机 软件系统设计

基于SpringBoot的流浪宠物救助系统的设计与实现-22018字.docx

2022及前全 DOCX   81页   下载0   2026-01-13   浏览2   收藏0   点赞0   评分-   27484字   20.00
温馨提示:当前文档最多只能预览 10 页,若文档总页数超出了 10 页,请下载原文档以浏览全部内容。
基于SpringBoot的流浪宠物救助系统的设计与实现-22018字.docx 第1页
基于SpringBoot的流浪宠物救助系统的设计与实现-22018字.docx 第2页
基于SpringBoot的流浪宠物救助系统的设计与实现-22018字.docx 第3页
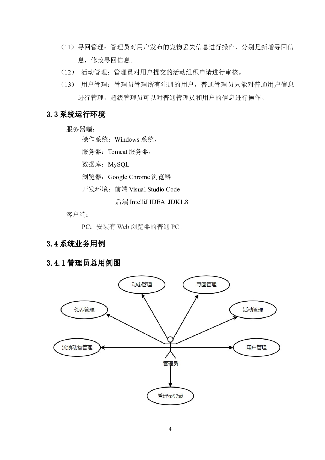
基于SpringBoot的流浪宠物救助系统的设计与实现-22018字.docx 第4页
基于SpringBoot的流浪宠物救助系统的设计与实现-22018字.docx 第5页
基于SpringBoot的流浪宠物救助系统的设计与实现-22018字.docx 第6页
基于SpringBoot的流浪宠物救助系统的设计与实现-22018字.docx 第7页
基于SpringBoot的流浪宠物救助系统的设计与实现-22018字.docx 第8页
基于SpringBoot的流浪宠物救助系统的设计与实现-22018字.docx 第9页
基于SpringBoot的流浪宠物救助系统的设计与实现-22018字.docx 第10页
剩余71页未读, 下载浏览全部
基于SpringBoot的流浪宠物救助系统的设计与实现 摘 要 随着我国经济与科技的日益发展,人们的生活越来越好,闲暇时光就会想养一养小宠物,但有时会因为工作突然忙碌起来,家庭住址搬迁,宠物又诞下小宠物,没有太多精力饲养宠物 等等原因 而将 它们 遗弃, 导致这些宠物变成 流浪宠物。 而 被遗弃的宠物在外四处流浪,翻垃圾桶,生产更多幼崽,在路上乱跑,造成了环境,公共交通等越来越多的问题,给社会和环境带来了不 少 的 影响 。 本系统的设计是面向动物保护者和其他普通群众,设计初衷是为了缓解流浪宠物不断增多带来的各种问题。
基于SpringBoot的流浪宠物救助系统的设计与实现-22018字.docx