文库 建筑与工程管理 给排水

山西省某市10万m3d污水处理工程设计-11273字.docx

2022及前全 DOCX   41页   下载0   2026-01-15   浏览5   收藏0   点赞0   评分-   11530字   20.00
温馨提示:当前文档最多只能预览 10 页,若文档总页数超出了 10 页,请下载原文档以浏览全部内容。
山西省某市10万m3d污水处理工程设计-11273字.docx 第1页
山西省某市10万m3d污水处理工程设计-11273字.docx 第2页
山西省某市10万m3d污水处理工程设计-11273字.docx 第3页
山西省某市10万m3d污水处理工程设计-11273字.docx 第4页
山西省某市10万m3d污水处理工程设计-11273字.docx 第5页
山西省某市10万m3d污水处理工程设计-11273字.docx 第6页
山西省某市10万m3d污水处理工程设计-11273字.docx 第7页
山西省某市10万m3d污水处理工程设计-11273字.docx 第8页
山西省某市10万m3d污水处理工程设计-11273字.docx 第9页
山西省某市10万m3d污水处理工程设计-11273字.docx 第10页
剩余31页未读, 下载浏览全部
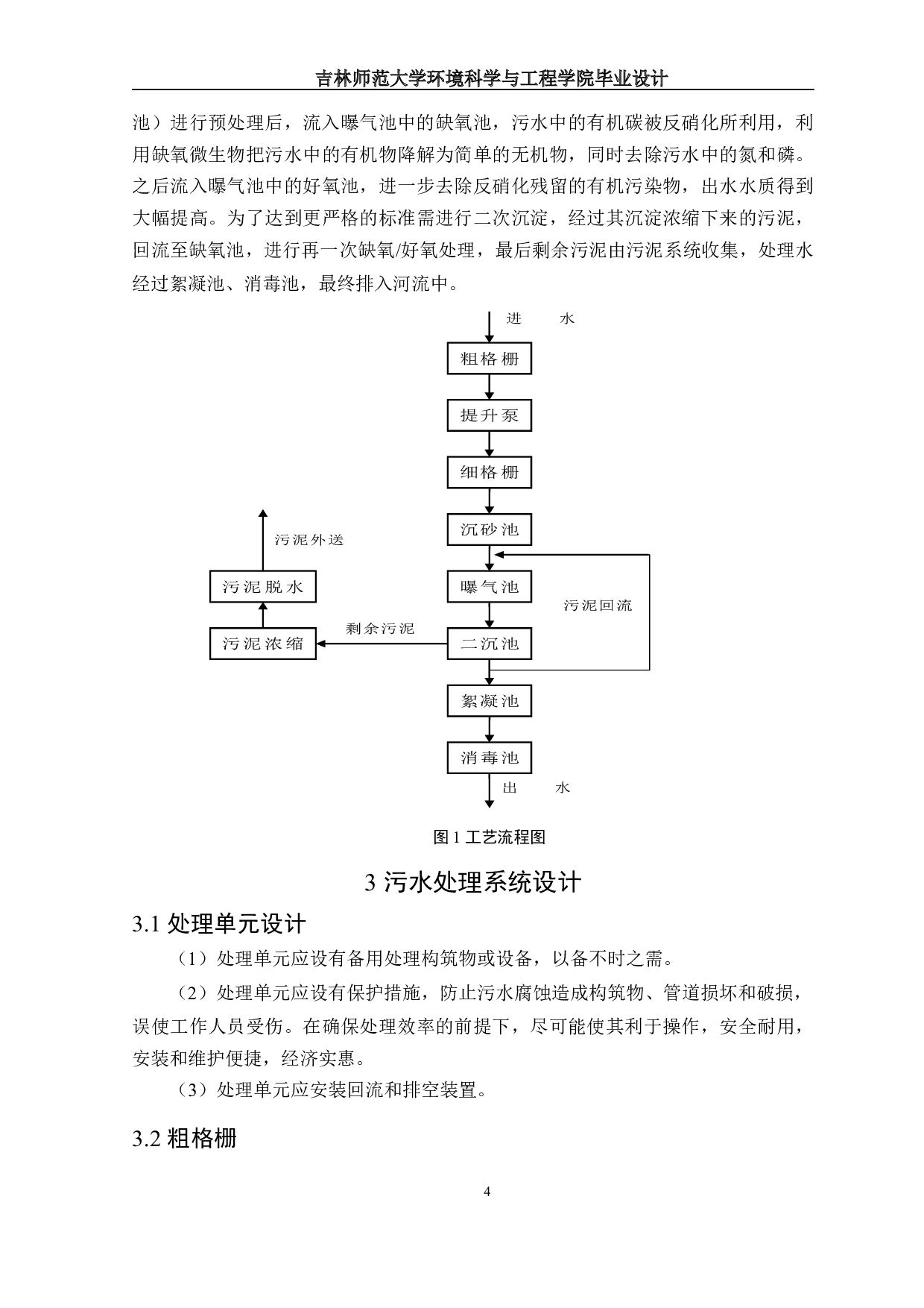
Keywords : Domestic sewage; S ewage treatment ; A/O process 目 录 1 绪论 1 1.1 设计题目 1 1.2 设计条件 1 1.2.1 设计水量 1 1.2.2 设计水质 1 1.2.3 可生化性分析 2 1.3 处理程度计算 2 2 工艺流程设计及确定 2 2.1 污水处理工程设计原则 2 2.2 生物处理污水工艺比较 2 2.3 设计方案的确定 4 2.4 工艺流程 4 3 污水处理系统设计 5 3.1 处理单元设计 5 3.2 粗格栅 5 3.2.1 设计参数 5 3.2.2 设计计算 5 3.3 提升泵房 8 3.3.1 设计参数 8 3.3.2 设计计算 8 3.4 细格栅 9 3.4.1 设计参数 9 3.4.2 设计
山西省某市10万m3d污水处理工程设计-11273字.docx