文库 数学 应用数学

基于函数视角分析高中数列的解题-11915字.docx

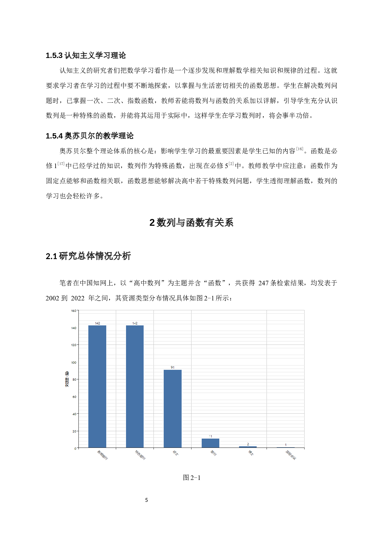
2022及前全 DOCX   32页   下载0   2026-01-16   浏览4   收藏0   点赞0   评分-   14373字   20.00
温馨提示:当前文档最多只能预览 10 页,若文档总页数超出了 10 页,请下载原文档以浏览全部内容。
基于函数视角分析高中数列的解题-11915字.docx 第1页
基于函数视角分析高中数列的解题-11915字.docx 第2页
基于函数视角分析高中数列的解题-11915字.docx 第3页
基于函数视角分析高中数列的解题-11915字.docx 第4页
基于函数视角分析高中数列的解题-11915字.docx 第5页
基于函数视角分析高中数列的解题-11915字.docx 第6页
基于函数视角分析高中数列的解题-11915字.docx 第7页
基于函数视角分析高中数列的解题-11915字.docx 第8页
基于函数视角分析高中数列的解题-11915字.docx 第9页
基于函数视角分析高中数列的解题-11915字.docx 第10页
剩余22页未读, 下载浏览全部
英文摘要 【 Abstract 】 Function a s the main content of middle school mathematics , its thought penetrate s into every link of middle school mathematics , and is closely related to many contents of middle school mathematics; w hile the sequence is at the interaction point of knowledge , number , formula , equation , function , simple logic and so on have been fully applied in the learning process of sequence. The main purpose of this pa
基于函数视角分析高中数列的解题-11915字.docx