文库 历史文化与思想政治 法学

论香港廉政公署对内地反腐法治建设的启示——以内地监察委为例-11078字.docx

2022及前全 DOCX   20页   下载0   2026-01-15   浏览3   收藏0   点赞0   评分-   14069字   20.00
温馨提示:当前文档最多只能预览 10 页,若文档总页数超出了 10 页,请下载原文档以浏览全部内容。
论香港廉政公署对内地反腐法治建设的启示——以内地监察委为例-11078字.docx 第1页
论香港廉政公署对内地反腐法治建设的启示——以内地监察委为例-11078字.docx 第2页
论香港廉政公署对内地反腐法治建设的启示——以内地监察委为例-11078字.docx 第3页
论香港廉政公署对内地反腐法治建设的启示——以内地监察委为例-11078字.docx 第4页
论香港廉政公署对内地反腐法治建设的启示——以内地监察委为例-11078字.docx 第5页
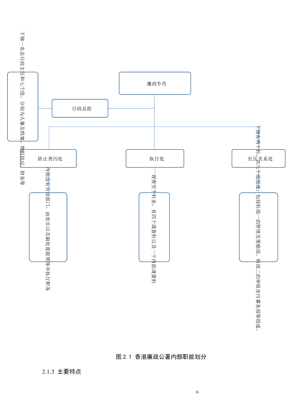
论香港廉政公署对内地反腐法治建设的启示——以内地监察委为例-11078字.docx 第6页
论香港廉政公署对内地反腐法治建设的启示——以内地监察委为例-11078字.docx 第7页
论香港廉政公署对内地反腐法治建设的启示——以内地监察委为例-11078字.docx 第8页
论香港廉政公署对内地反腐法治建设的启示——以内地监察委为例-11078字.docx 第9页
论香港廉政公署对内地反腐法治建设的启示——以内地监察委为例-11078字.docx 第10页
剩余10页未读, 下载浏览全部
Abstract In 2018, China's supervision law was promulgated and implemented, and the supervision committee was officially established, marking a new height in the construction of anti-corruption rule of law in the mainland of China. In practice over the past four years, the supervisory committee has taken a "zero tolerance" attitude and determination to crack down on corrupt forces. However, there are still problems in the legal system of the supervision committee, which needs to be improved and p
论香港廉政公署对内地反腐法治建设的启示——以内地监察委为例-11078字.docx