文库 机械管理与电气自动化 工业设计

一种可改善室内采光的产品设计-11064字.docx

2022及前全 DOCX   29页   下载0   2026-01-15   浏览3   收藏0   点赞0   评分-   13500字   20.00
温馨提示:当前文档最多只能预览 10 页,若文档总页数超出了 10 页,请下载原文档以浏览全部内容。
一种可改善室内采光的产品设计-11064字.docx 第1页
一种可改善室内采光的产品设计-11064字.docx 第2页
一种可改善室内采光的产品设计-11064字.docx 第3页
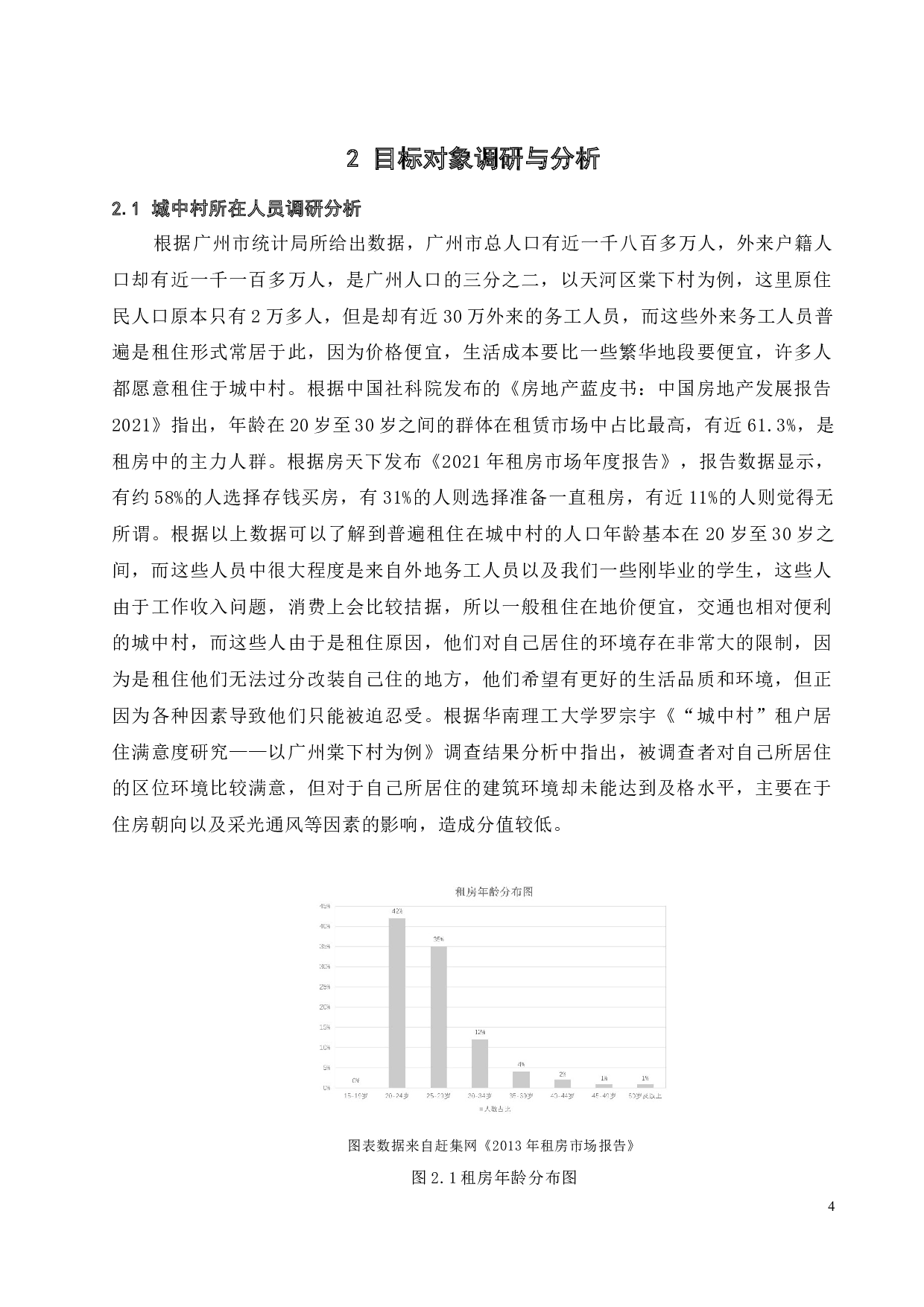
一种可改善室内采光的产品设计-11064字.docx 第4页
一种可改善室内采光的产品设计-11064字.docx 第5页
一种可改善室内采光的产品设计-11064字.docx 第6页
一种可改善室内采光的产品设计-11064字.docx 第7页
一种可改善室内采光的产品设计-11064字.docx 第8页
一种可改善室内采光的产品设计-11064字.docx 第9页
一种可改善室内采光的产品设计-11064字.docx 第10页
剩余19页未读, 下载浏览全部
摘要 本课题旨在针对房屋采光不好, 希望 通过楼顶引光,利用光学反射, 并且 根据光线移动从而 自动 调整反射角度,使其可保持光线的导入,达到改善室内采光的效果。 本课题研究对象范围是城中村所在住户, 城中村由于其狭窄的房屋间距,密集错落的住房导致其阳光很难照射到住户的屋子内部 。 通过对市面产品调研分析发现市面产品由于价格昂贵、安装难度大,无法满足用户需求。 本产品在功能上 通过光电传感器 结合蓝牙模块 信息传输,实现反射角度的自动调整 ,利用光学反射聚焦最大程度将光线反射至室内。 从结果来看,本产品 一定程度
一种可改善室内采光的产品设计-11064字.docx