文库 计算机 软件系统设计

游戏官网的设计与实现-10122字.docx

2022及前全 DOCX   38页   下载0   2026-01-13   浏览3   收藏0   点赞0   评分-   13135字   20.00
温馨提示:当前文档最多只能预览 10 页,若文档总页数超出了 10 页,请下载原文档以浏览全部内容。
游戏官网的设计与实现-10122字.docx 第1页
游戏官网的设计与实现-10122字.docx 第2页
游戏官网的设计与实现-10122字.docx 第3页
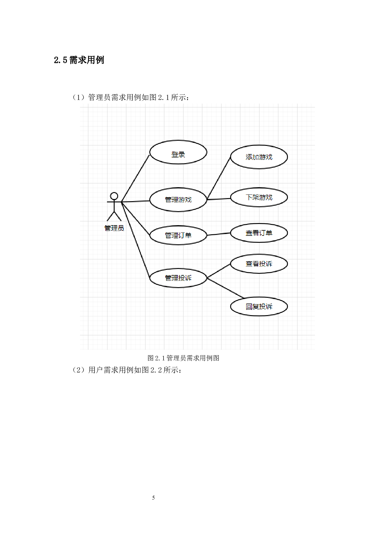
游戏官网的设计与实现-10122字.docx 第4页
游戏官网的设计与实现-10122字.docx 第5页
游戏官网的设计与实现-10122字.docx 第6页
游戏官网的设计与实现-10122字.docx 第7页
游戏官网的设计与实现-10122字.docx 第8页
游戏官网的设计与实现-10122字.docx 第9页
游戏官网的设计与实现-10122字.docx 第10页
剩余28页未读, 下载浏览全部
游戏官网的 设计与实现 摘 要 在当今社会的迅速发展下,互联网成为人们重要的休闲娱乐的场所。国外也已经有了很多网上娱乐的服务网站。而游戏又是其中最受人们欢迎的网络项目。因此我觉得设计开发一个游戏网站将会十分新颖且实用。让人们不用过多搜索就可以找到自己喜欢的游戏并入手游玩。但是如何将一个游戏网站开发成新时代下人们所需要的重要工具呢? 所以本文通过前期构思和需求分析后决定使用游戏官网这个题目来做一款类似于网上游戏购物交流平台的一个网站。网站内容可以包含购物和玩家交流这两大项,而通过从各方加入的新游戏也会
游戏官网的设计与实现-10122字.docx