文库 管理学 工商管理

沈阳御龙湾购物中心提高顾客满意度策略研究-14498字.docx

2022及前全 DOCX   31页   下载0   2026-01-09   浏览3   收藏0   点赞0   评分-   24341字   20.00
温馨提示:当前文档最多只能预览 10 页,若文档总页数超出了 10 页,请下载原文档以浏览全部内容。
沈阳御龙湾购物中心提高顾客满意度策略研究-14498字.docx 第1页
沈阳御龙湾购物中心提高顾客满意度策略研究-14498字.docx 第2页
沈阳御龙湾购物中心提高顾客满意度策略研究-14498字.docx 第3页
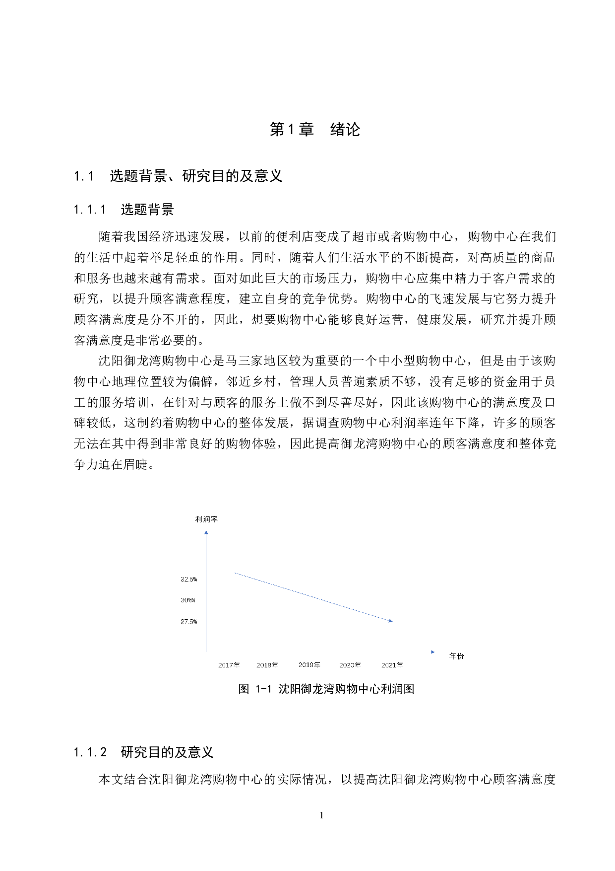
沈阳御龙湾购物中心提高顾客满意度策略研究-14498字.docx 第4页
沈阳御龙湾购物中心提高顾客满意度策略研究-14498字.docx 第5页
沈阳御龙湾购物中心提高顾客满意度策略研究-14498字.docx 第6页
沈阳御龙湾购物中心提高顾客满意度策略研究-14498字.docx 第7页
沈阳御龙湾购物中心提高顾客满意度策略研究-14498字.docx 第8页
沈阳御龙湾购物中心提高顾客满意度策略研究-14498字.docx 第9页
沈阳御龙湾购物中心提高顾客满意度策略研究-14498字.docx 第10页
剩余21页未读, 下载浏览全部
摘 要 随着社会的发展和人民生活水平的提高,购物中心在人民的经济生活中 发挥着越来越重要的作用 。 同时 ,消费者的消费理念 也在不断变化 ,对购买的产品有了更高的 追求 。如何满足消费者的多样化需求与潜在消费需要,以及如何提升顾客满意度及维持客户忠诚也成为了其实现可持续发展的重要途径。 本文以沈阳御龙湾购物中心为例,进行 提高 顾客满意度 的 研究。首先 学习 顾客满意的基本概念和顾客满意度 模型 等有关理论, 其次依据 顾客满意度指数模型选取了 ECSI 模型的 4 个影响顾客满意度的潜在变量作为基本指标,进一步下设
沈阳御龙湾购物中心提高顾客满意度策略研究-14498字.docx