文库 管理学 旅游管理

我国研学旅行的历史演变及其启示-61752字.docx

DOCX   68页   下载0   2025-10-28   浏览28   收藏0   点赞0   评分-   90123字   6积分
温馨提示:当前文档最多只能预览 10 页,若文档总页数超出了 10 页,请下载原文档以浏览全部内容。
我国研学旅行的历史演变及其启示-61752字.docx 第1页
我国研学旅行的历史演变及其启示-61752字.docx 第2页
我国研学旅行的历史演变及其启示-61752字.docx 第3页
我国研学旅行的历史演变及其启示-61752字.docx 第4页
我国研学旅行的历史演变及其启示-61752字.docx 第5页
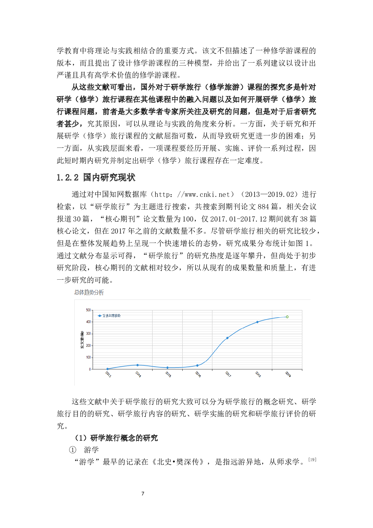
我国研学旅行的历史演变及其启示-61752字.docx 第6页
我国研学旅行的历史演变及其启示-61752字.docx 第7页
我国研学旅行的历史演变及其启示-61752字.docx 第8页
我国研学旅行的历史演变及其启示-61752字.docx 第9页
我国研学旅行的历史演变及其启示-61752字.docx 第10页
剩余58页未读, 下载浏览全部
摘要 全面提高中小学生的综合素质,培养学生的核心素养是当前我国基础教育改革的主要诉求。研学旅行作为校内教育与校外教育相衔接的一种新型综合实践活动课程,是全面推进中小学生素质教育的重要途径,对培养学生的社会主义核心价值观具有重要意义,受到社会的广泛关注。从2012年起,我国部分省份地区的中小学开展研学旅行试点工作,此后,相关部门相继出台了有关研学旅行的政策和文件,直到2016年,教育部等11部门正式出台了《关于推进中小学生研学旅行的意见,将研学旅行正式纳入到了中小学教育教学计划中。目前,研学旅行得到中小学的
我国研学旅行的历史演变及其启示-61752字.docx