文库 地质与地理 地理

基于地理课程思政的研学旅行方案设计及实施-18439字.docx

2022及前全 DOCX   35页   下载0   2026-01-15   浏览1   收藏0   点赞0   评分-   22467字   20.00
温馨提示:当前文档最多只能预览 10 页,若文档总页数超出了 10 页,请下载原文档以浏览全部内容。
基于地理课程思政的研学旅行方案设计及实施-18439字.docx 第1页
基于地理课程思政的研学旅行方案设计及实施-18439字.docx 第2页
基于地理课程思政的研学旅行方案设计及实施-18439字.docx 第3页
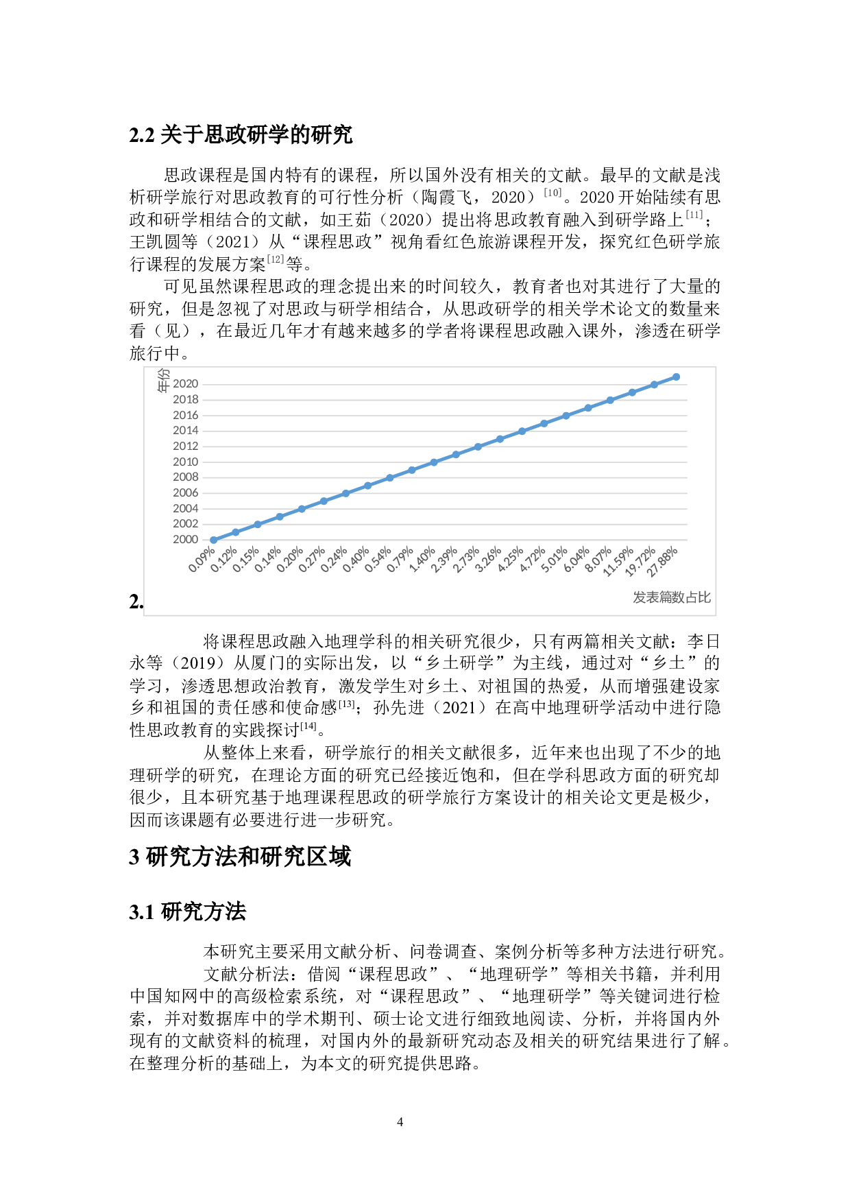
基于地理课程思政的研学旅行方案设计及实施-18439字.docx 第4页
基于地理课程思政的研学旅行方案设计及实施-18439字.docx 第5页
基于地理课程思政的研学旅行方案设计及实施-18439字.docx 第6页
基于地理课程思政的研学旅行方案设计及实施-18439字.docx 第7页
基于地理课程思政的研学旅行方案设计及实施-18439字.docx 第8页
基于地理课程思政的研学旅行方案设计及实施-18439字.docx 第9页
基于地理课程思政的研学旅行方案设计及实施-18439字.docx 第10页
剩余25页未读, 下载浏览全部
目 录 1 . 引言 2 1.1 研究背景 2 1.2 研究意义 2 1.2.1 课程思政是现代教育树人之本 3 1.2.2 地理研学旅行有利于提升学生的核心素养 3 2 . 国内外研究现状综述 3 2.1 关于地理研学的研究 4 2.2 关于思政研学的研究 4 2.3 地理课程思政研学 5 3 . 研究方法和研究区域 5 3.1 研究方法 5 3.2 技术路线 6 3.3 研究区域 7 4 . 现状调查及问题分析 8 4.1 调查问卷的设计 8 4.1.1 调查对象 8 4.1.2 调查问卷的设计 8 4.1.3 调查样本的信度分析 8 4.2 调查结果与分析 9 4.2.1 学生对地理课、思政课、研学旅行、航天文化的态度 9 4.2.
基于地理课程思政的研学旅行方案设计及实施-18439字.docx