文库 计算机 大数据

基于时间序列模型的风速预测方法研究-8474字.docx

DOCX   18页   下载0   2025-10-29   浏览50   收藏0   点赞0   评分-   11874字   6积分
温馨提示:当前文档最多只能预览 10 页,若文档总页数超出了 10 页,请下载原文档以浏览全部内容。
基于时间序列模型的风速预测方法研究-8474字.docx 第1页
基于时间序列模型的风速预测方法研究-8474字.docx 第2页
基于时间序列模型的风速预测方法研究-8474字.docx 第3页
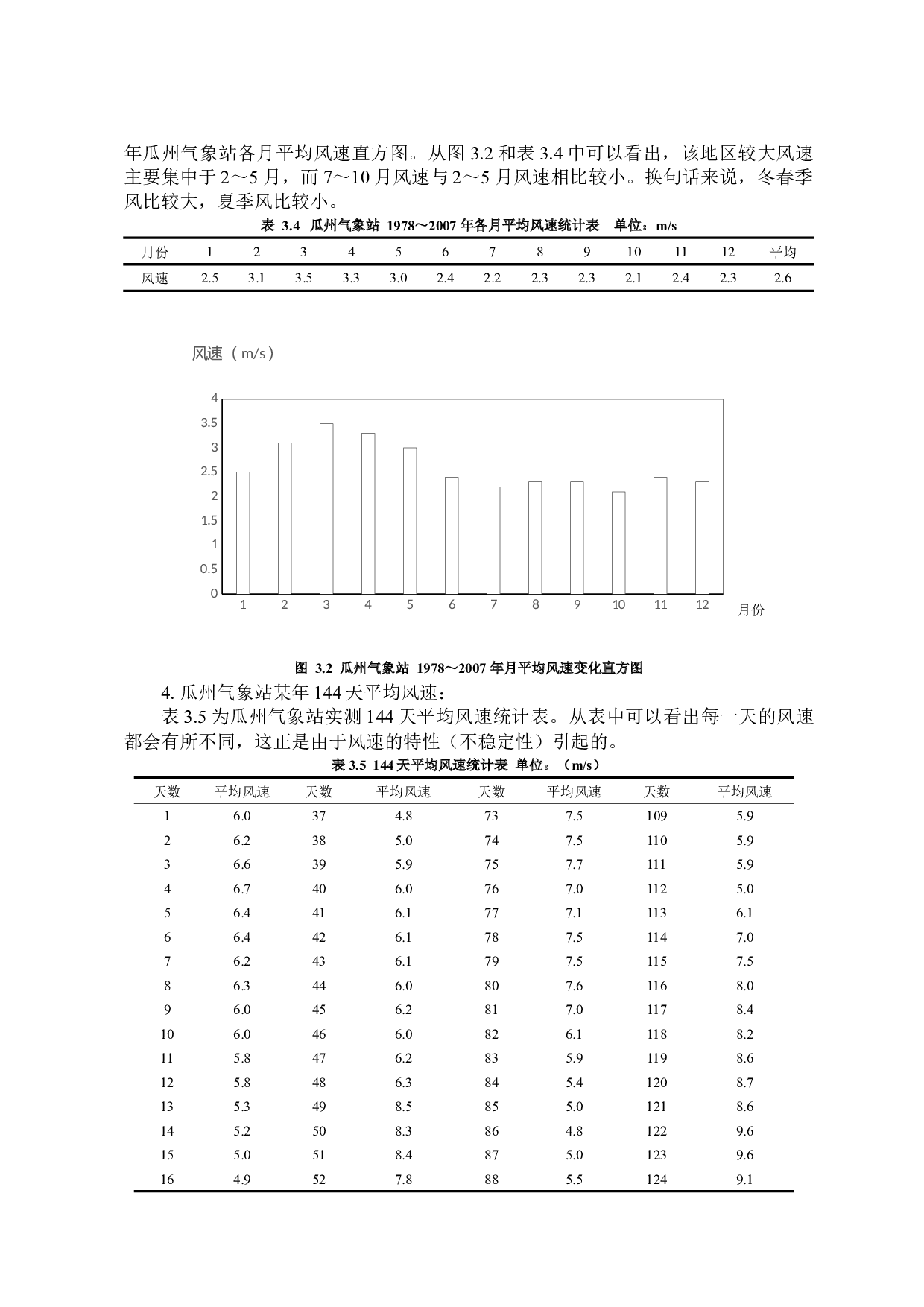
基于时间序列模型的风速预测方法研究-8474字.docx 第4页
基于时间序列模型的风速预测方法研究-8474字.docx 第5页
基于时间序列模型的风速预测方法研究-8474字.docx 第6页
基于时间序列模型的风速预测方法研究-8474字.docx 第7页
基于时间序列模型的风速预测方法研究-8474字.docx 第8页
基于时间序列模型的风速预测方法研究-8474字.docx 第9页
基于时间序列模型的风速预测方法研究-8474字.docx 第10页
剩余8页未读, 下载浏览全部
摘 要 要 建立风电场 需具有 3 0 年以上的测风数据,且连续性要比较好,要建立 这样 一个风电场需要很长时间,用时间序列法预测风速能 有效 减少测风时间。 本文利用 差 分自回归滑动平均模型 对风速进行预测,在已知历史风速的基础上对未来风速进行预测。 在 M ATLAB 平台 先对瓜州气象站 1 978 ~ 2007 年的平均风速进行预测, 然后 对瓜州气象站某一年前 1 44 天的 日平均风速进行预测,并对其预测结果进行分析。由残差图来看此模型拟合精度较高,拟合效果较为理想。 关键字: 差 分自回归滑动平均模型 ; 风速; MATLAB Abstract To
基于时间序列模型的风速预测方法研究-8474字.docx