文库 经济学 国际经济与贸易

“一带一路”背景下广东省文化产业对外贸易现状、问题和对策-12379字.docx

2022及前全 DOCX   19页   下载0   2026-01-12   浏览3   收藏0   点赞0   评分-   15107字   20.00
温馨提示:当前文档最多只能预览 10 页,若文档总页数超出了 10 页,请下载原文档以浏览全部内容。
“一带一路”背景下广东省文化产业对外贸易现状、问题和对策-12379字.docx 第1页
“一带一路”背景下广东省文化产业对外贸易现状、问题和对策-12379字.docx 第2页
“一带一路”背景下广东省文化产业对外贸易现状、问题和对策-12379字.docx 第3页
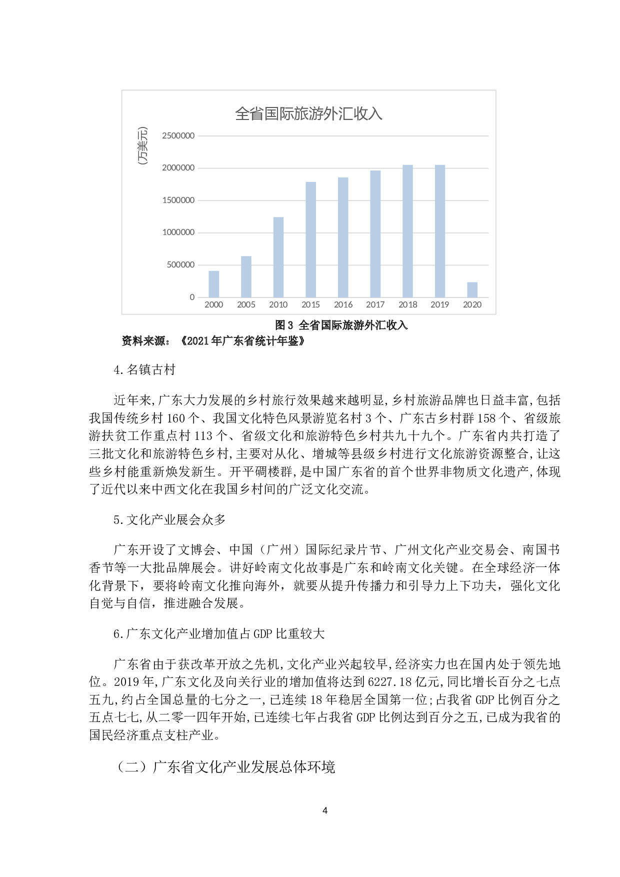
“一带一路”背景下广东省文化产业对外贸易现状、问题和对策-12379字.docx 第4页
“一带一路”背景下广东省文化产业对外贸易现状、问题和对策-12379字.docx 第5页
“一带一路”背景下广东省文化产业对外贸易现状、问题和对策-12379字.docx 第6页
“一带一路”背景下广东省文化产业对外贸易现状、问题和对策-12379字.docx 第7页
“一带一路”背景下广东省文化产业对外贸易现状、问题和对策-12379字.docx 第8页
“一带一路”背景下广东省文化产业对外贸易现状、问题和对策-12379字.docx 第9页
“一带一路”背景下广东省文化产业对外贸易现状、问题和对策-12379字.docx 第10页
剩余9页未读, 下载浏览全部
“一带一路” 背景下广东省文化产业对外贸易现状、问题和对策 摘 要 广东文化产业在全国处于总体规模、进出口总量首位, 十四五开局时期 , 是 广东大力发展文化产业的重要时期, “一带一路” 倡议 的政策引导下 ,广东省文化产业 开始 走出国门, 通过不断 深入的国际文化交流, 促进 了 广东省与“一带一路” 沿线国家文化 产业 贸易 的增长 。广东省政府 也出台 了 相关 扶持政策支持中小型文化企业 的对外 发展, 以 文博会、文交会等 国际文化展会 为载体,进一步 拉动了文化产业的 外部市场的 消费需求 。 本文将详细分析广东省文化产
“一带一路”背景下广东省文化产业对外贸易现状、问题和对策-12379字.docx