文库 经济学 国际经济与贸易

中国和“一带一路”沿线国家贸易高质量发展的水平测度与差异分析-14163字.docx

2022及前全 DOCX   25页   下载0   2026-01-15   浏览2   收藏0   点赞0   评分-   18749字   20.00
温馨提示:当前文档最多只能预览 10 页,若文档总页数超出了 10 页,请下载原文档以浏览全部内容。
中国和“一带一路”沿线国家贸易高质量发展的水平测度与差异分析-14163字.docx 第1页
中国和“一带一路”沿线国家贸易高质量发展的水平测度与差异分析-14163字.docx 第2页
中国和“一带一路”沿线国家贸易高质量发展的水平测度与差异分析-14163字.docx 第3页
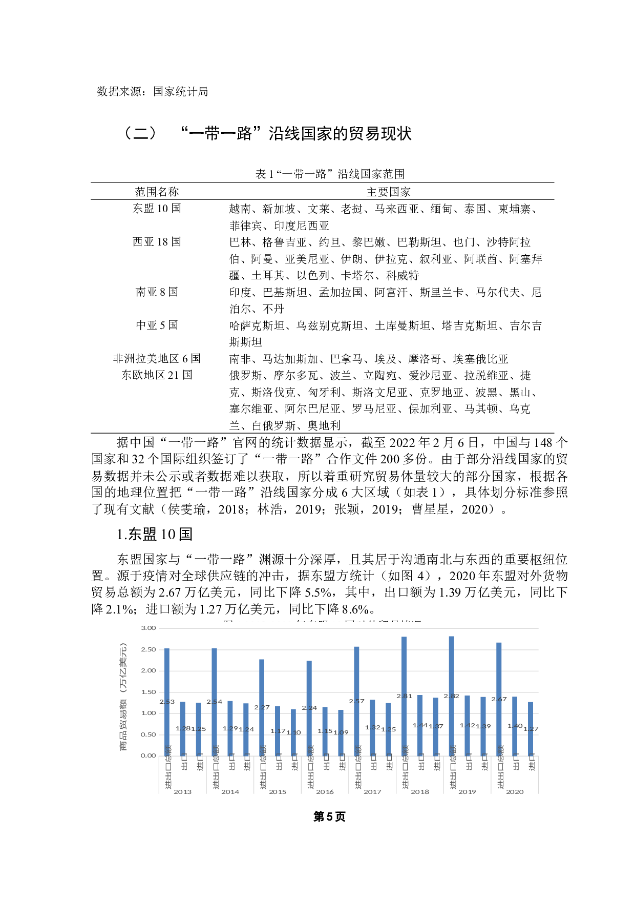
中国和“一带一路”沿线国家贸易高质量发展的水平测度与差异分析-14163字.docx 第4页
中国和“一带一路”沿线国家贸易高质量发展的水平测度与差异分析-14163字.docx 第5页
中国和“一带一路”沿线国家贸易高质量发展的水平测度与差异分析-14163字.docx 第6页
中国和“一带一路”沿线国家贸易高质量发展的水平测度与差异分析-14163字.docx 第7页
中国和“一带一路”沿线国家贸易高质量发展的水平测度与差异分析-14163字.docx 第8页
中国和“一带一路”沿线国家贸易高质量发展的水平测度与差异分析-14163字.docx 第9页
中国和“一带一路”沿线国家贸易高质量发展的水平测度与差异分析-14163字.docx 第10页
剩余15页未读, 下载浏览全部
摘要 从高质量发展的内涵出发,借鉴现有的相关研究成果,收集2013 - 2020年 中国与 “ 一带一路 ” 沿线68个国家的面板数据,应用主成分分析法和熵值法的 组合赋权 方式 , 围绕贸易高质量发展的“五大任务”来 构建 贸易高质量发展评价指标体系 , 测度 其 对外 贸易质量 的 综合水平 。首先对中国与“一带一路”沿线国家的贸易现状进行分析 。 然后通过统计测度得出的 中国与 “ 一带一路 ” 沿线 国家 的综合得分进行时序趋势分析和结构差异分析 , 评价其 贸易高质量发展水平 。最后研究发现,中国与“一带一路”沿线国家 整体贸易高质量发展水
中国和“一带一路”沿线国家贸易高质量发展的水平测度与差异分析-14163字.docx