文库 数学 应用数学

广东省城乡收入差距分析-10078字.docx

2022及前全 DOCX   17页   下载0   2026-01-16   浏览4   收藏0   点赞0   评分-   12473字   20.00
温馨提示:当前文档最多只能预览 10 页,若文档总页数超出了 10 页,请下载原文档以浏览全部内容。
广东省城乡收入差距分析-10078字.docx 第1页
广东省城乡收入差距分析-10078字.docx 第2页
广东省城乡收入差距分析-10078字.docx 第3页
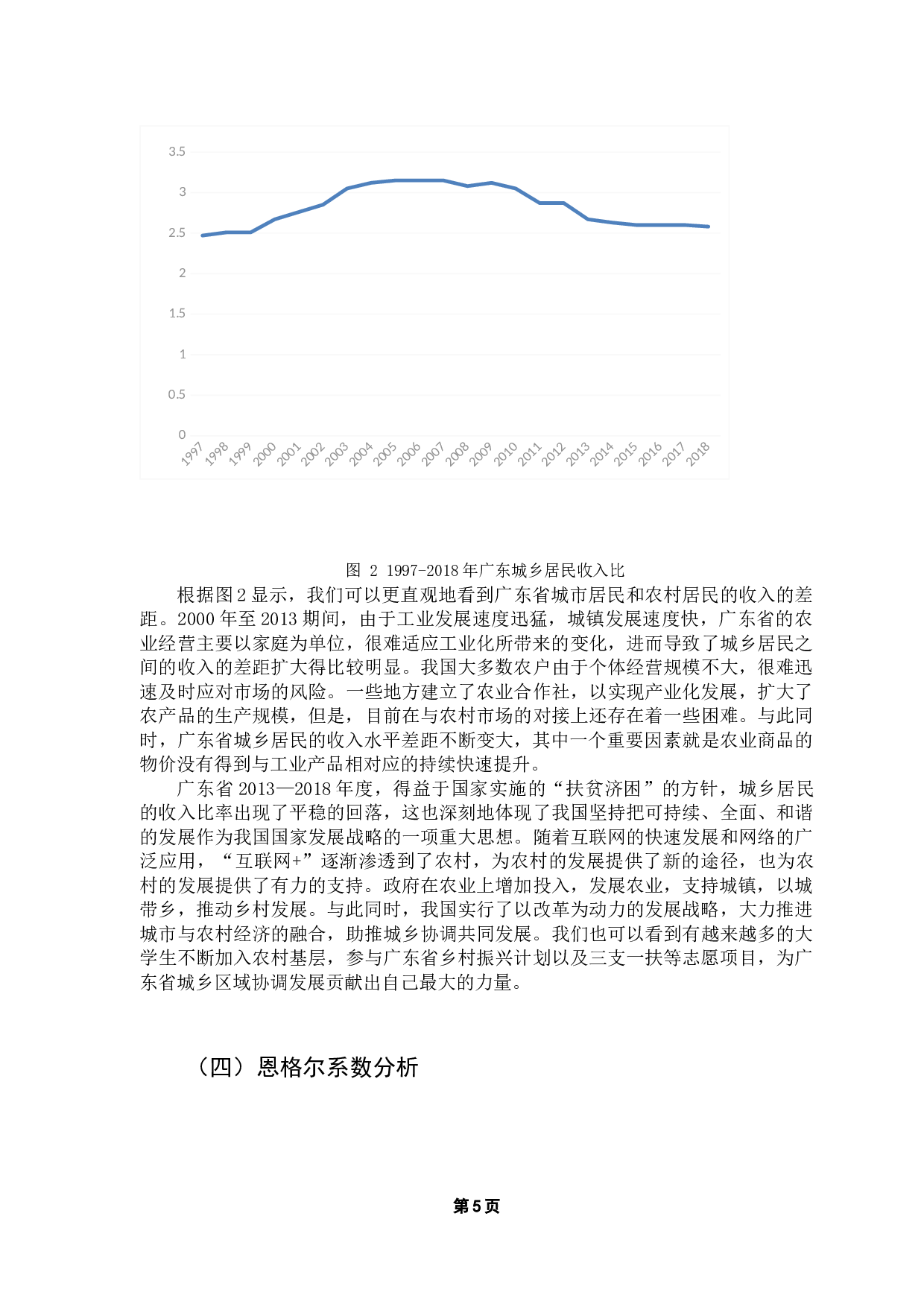
广东省城乡收入差距分析-10078字.docx 第4页
广东省城乡收入差距分析-10078字.docx 第5页
广东省城乡收入差距分析-10078字.docx 第6页
广东省城乡收入差距分析-10078字.docx 第7页
广东省城乡收入差距分析-10078字.docx 第8页
广东省城乡收入差距分析-10078字.docx 第9页
广东省城乡收入差距分析-10078字.docx 第10页
剩余7页未读, 下载浏览全部
摘要 □ 改革开放以来,随着 社会 经济的 迅猛 发展,广东省的城乡居民收入 水平得到明显 的提高, 人们的生活水平也取得了 较 大幅度地改善, 但是 ,有一个不可忽视的问题是 广东省的城乡居民 之间的 收入差距也在进一步扩大, 不利于 城乡协调发展和社会的和谐稳定发展。经过分析, 城乡二元结构的制约、农村生产 效 率低下、城乡人力资源差异 、政府的支农力度不足 是主要原因。因此,政府应当努力 改善城乡二元结构 , 推动农村 科技 培训 , 重视人力资本投资 , 加大 财政和政策支农的力度 , 从而逐步缩小广东省城
广东省城乡收入差距分析-10078字.docx