文库 经济学 经济学

关于政府采购电子化的研究-11502字.docx

2022及前全 DOCX   18页   下载0   2026-01-15   浏览3   收藏0   点赞0   评分-   12976字   20.00
温馨提示:当前文档最多只能预览 10 页,若文档总页数超出了 10 页,请下载原文档以浏览全部内容。
关于政府采购电子化的研究-11502字.docx 第1页
关于政府采购电子化的研究-11502字.docx 第2页
关于政府采购电子化的研究-11502字.docx 第3页
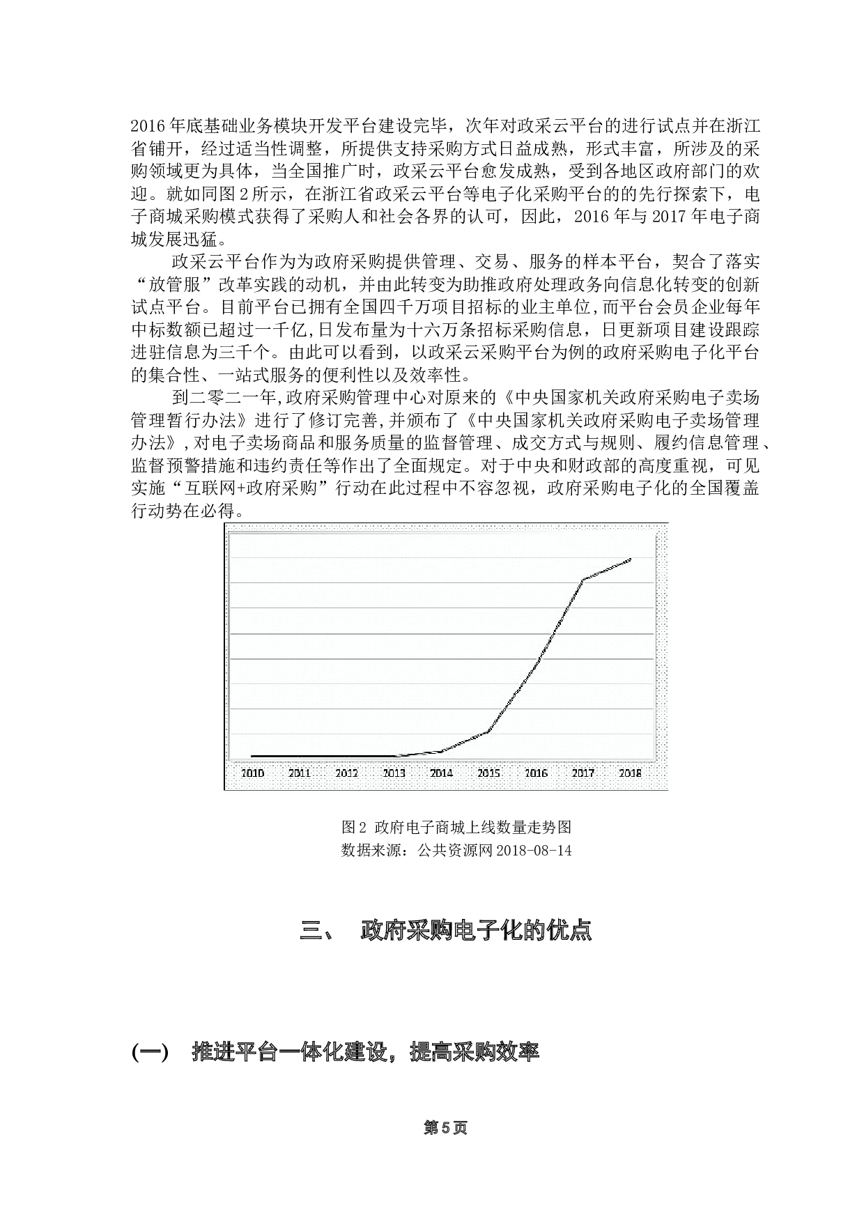
关于政府采购电子化的研究-11502字.docx 第4页
关于政府采购电子化的研究-11502字.docx 第5页
关于政府采购电子化的研究-11502字.docx 第6页
关于政府采购电子化的研究-11502字.docx 第7页
关于政府采购电子化的研究-11502字.docx 第8页
关于政府采购电子化的研究-11502字.docx 第9页
关于政府采购电子化的研究-11502字.docx 第10页
剩余8页未读, 下载浏览全部
摘要 □□ 随着信息化的日益发达, 电子商务逐渐成为经济交易的主要 形式, 而政府购买电子化趋势越发显现 。我国政府部门主动跟随新时代发展需求,大力推动政府采购电子化的发展,对于进一步健全新时期政府采购管理体系、提升政府采购现代化管理技术水平有着重要意义。 本文将从我国政府采购电子化相关政策以及使用进程出发,分析我国政府采购电子化的使用情况,对于 政府采购电子化管理 所存在的问题,如 我国 依然面临着电子化购买门槛过高、网络安全面临重大隐患等地方进行剖析并提出相关建议 , 以提高政府采购安全性和权威
关于政府采购电子化的研究-11502字.docx