文库 经济学 国际经济与贸易

我国纺织业贸易隐含碳的测算-9536字.docx

2022及前全 DOCX   14页   下载0   2026-01-15   浏览4   收藏0   点赞0   评分-   11607字   20.00
温馨提示:当前文档最多只能预览 10 页,若文档总页数超出了 10 页,请下载原文档以浏览全部内容。
我国纺织业贸易隐含碳的测算-9536字.docx 第1页
我国纺织业贸易隐含碳的测算-9536字.docx 第2页
我国纺织业贸易隐含碳的测算-9536字.docx 第3页
我国纺织业贸易隐含碳的测算-9536字.docx 第4页
我国纺织业贸易隐含碳的测算-9536字.docx 第5页
我国纺织业贸易隐含碳的测算-9536字.docx 第6页
我国纺织业贸易隐含碳的测算-9536字.docx 第7页
我国纺织业贸易隐含碳的测算-9536字.docx 第8页
我国纺织业贸易隐含碳的测算-9536字.docx 第9页
我国纺织业贸易隐含碳的测算-9536字.docx 第10页
剩余4页未读, 下载浏览全部
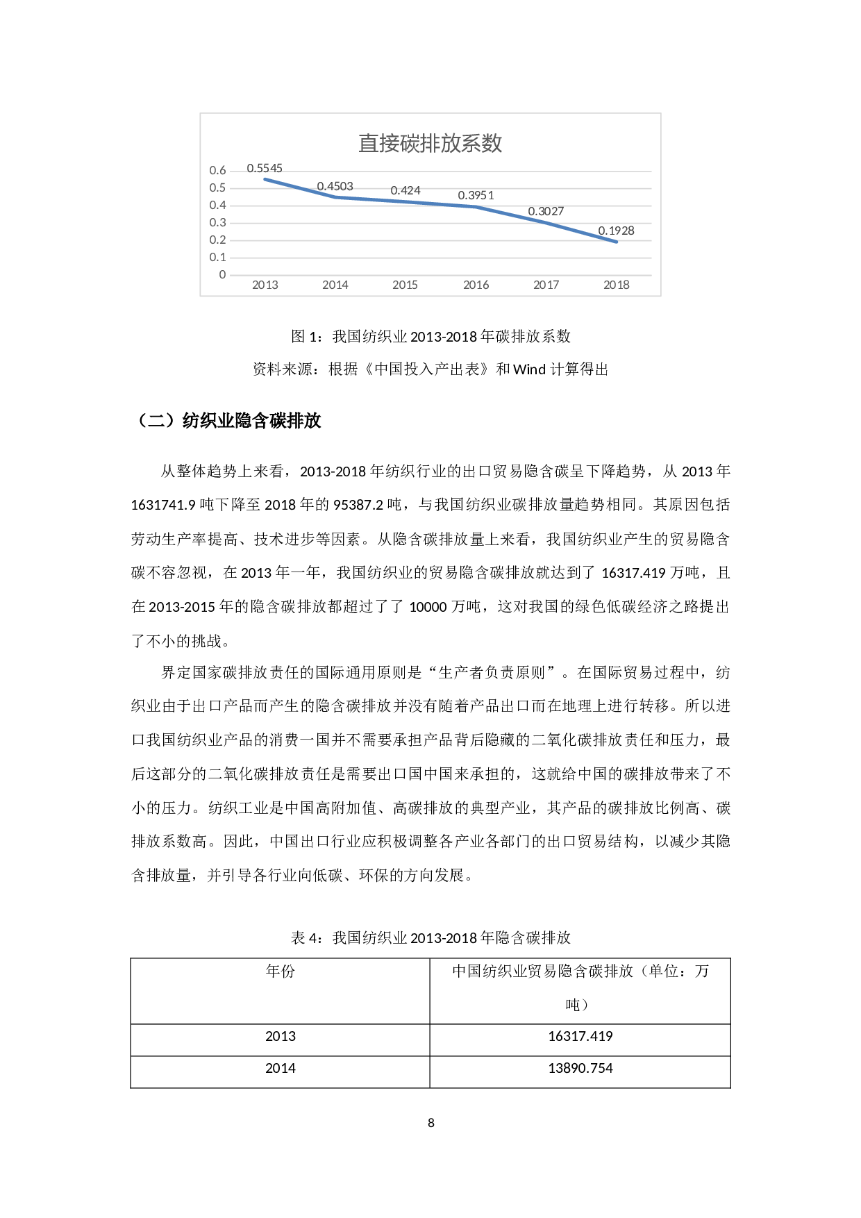
目录 一、引言 1 二、中国纺织业贸易和碳排放现状 1 (一)中国纺织业产品贸易现状 1 (二)中国纺织业碳排放量现状 2 三、中国纺织业贸易隐含碳的测算 3 (一)贸易隐含碳的含义 3 (二)测算方法 4 1. 计算直接碳排放系数 5 2. 计算完全碳排放系数 5 3. 计算对外贸易隐含碳总量 5 (三)数据来源与说明 5 四、结果与分析 6 (一)纺织业的直接碳排放系数和完全碳排放系数 6 (二)纺织业隐含碳排放 7 五、结论及政策建议 8 (一)调整产业结构 8 (二)坚持消费者负责制原则 9 (三)碳税和碳交易结合定价 10 (四)加大宣传力度,发展
我国纺织业贸易隐含碳的测算-9536字.docx