文库 旅游与环境 环境工程

东莞风飞啤酒厂环保工程设计——厂内管道及附属构筑物设计-14981字.docx

2022及前全 DOCX   49页   下载0   2026-01-12   浏览6   收藏0   点赞0   评分-   21894字   20.00
温馨提示:当前文档最多只能预览 10 页,若文档总页数超出了 10 页,请下载原文档以浏览全部内容。
东莞风飞啤酒厂环保工程设计——厂内管道及附属构筑物设计-14981字.docx 第1页
东莞风飞啤酒厂环保工程设计——厂内管道及附属构筑物设计-14981字.docx 第2页
东莞风飞啤酒厂环保工程设计——厂内管道及附属构筑物设计-14981字.docx 第3页
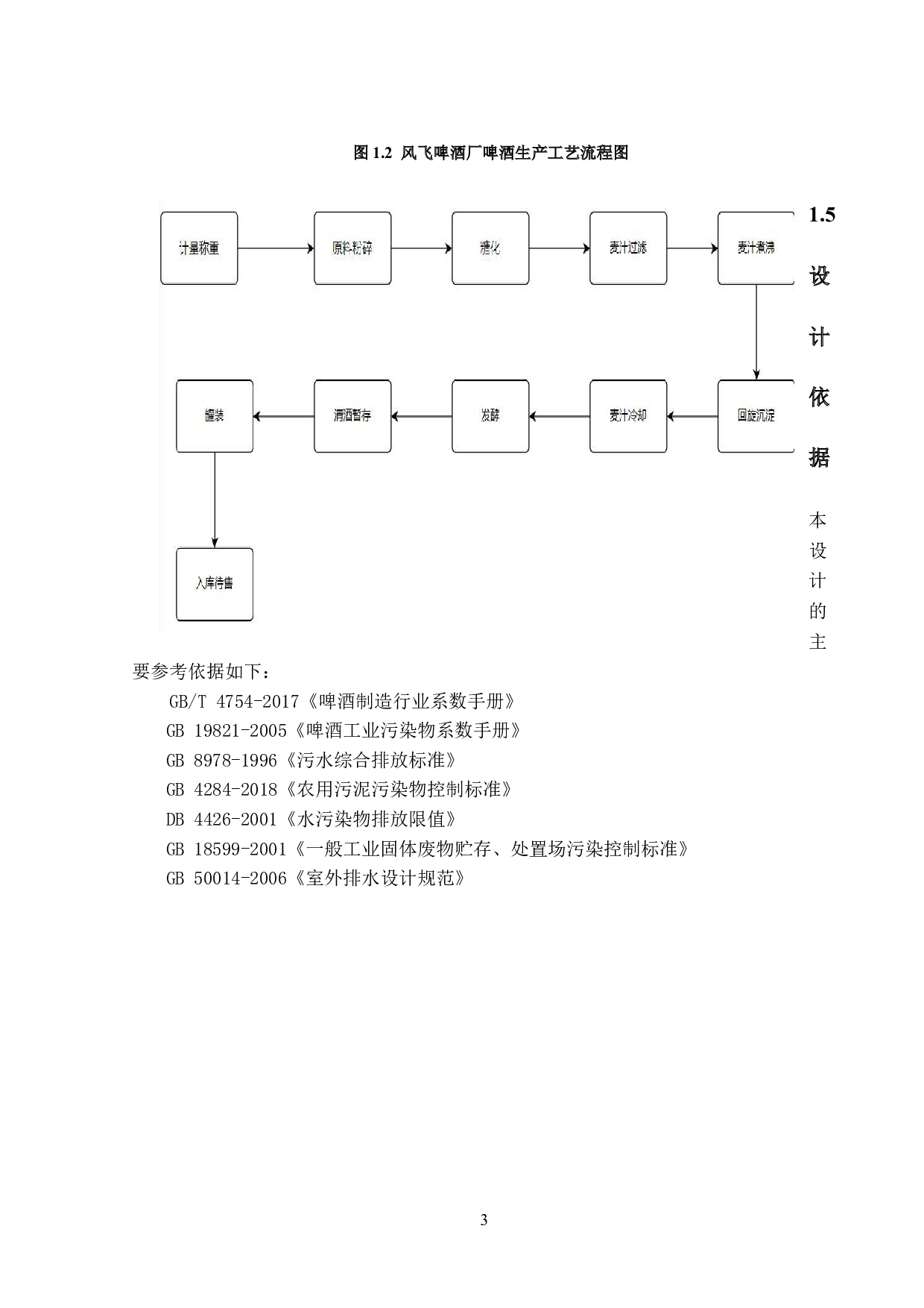
东莞风飞啤酒厂环保工程设计——厂内管道及附属构筑物设计-14981字.docx 第4页
东莞风飞啤酒厂环保工程设计——厂内管道及附属构筑物设计-14981字.docx 第5页
东莞风飞啤酒厂环保工程设计——厂内管道及附属构筑物设计-14981字.docx 第6页
东莞风飞啤酒厂环保工程设计——厂内管道及附属构筑物设计-14981字.docx 第7页
东莞风飞啤酒厂环保工程设计——厂内管道及附属构筑物设计-14981字.docx 第8页
东莞风飞啤酒厂环保工程设计——厂内管道及附属构筑物设计-14981字.docx 第9页
东莞风飞啤酒厂环保工程设计——厂内管道及附属构筑物设计-14981字.docx 第10页
剩余39页未读, 下载浏览全部
摘 要 近年来,由于受到疫情冲击影响,自 2 019 年以来 啤酒 的 产量 呈现持 续走跌 的形式 , 2 020 年更是达到 10 年来的新低产量。今年由于疫情不稳定,啤酒产量也难以呈现回弹。啤酒行业与其他工业一样,生产过程中会带的环境影响问题不容忽视,其中废水与污泥的污染尤为突出。 本次 设计 针对 废水 的 排放量 和性质 ,处理工艺 选取的 是 “ UASB+CASS ”组合工艺 。这一组合在国内外都得到了广泛应用 , 且是公认的性价比高的污水处理工艺。 其优点 如下:一 是弥补 了以往 传统工艺的 单一性缺点 , 二是 在经济可行性上, 降低
东莞风飞啤酒厂环保工程设计——厂内管道及附属构筑物设计-14981字.docx