文库 数学 应用数学

无法从提供的文本中识别出明确的论文题目信息,文本中没有可辨认的标题内容。请确认封面信息是否完整或提供更清晰的文本。-2087字.docx

2022及前全 DOCX   13页   下载0   2026-01-16   浏览7   收藏0   点赞0   评分-   11063字   20.00
温馨提示:当前文档最多只能预览 10 页,若文档总页数超出了 10 页,请下载原文档以浏览全部内容。
无法从提供的文本中识别出明确的论文题目信息,文本中没有可辨认的标题内容。请确认封面信息是否完整或提供更清晰的文本。-2087字.docx 第1页
无法从提供的文本中识别出明确的论文题目信息,文本中没有可辨认的标题内容。请确认封面信息是否完整或提供更清晰的文本。-2087字.docx 第2页
无法从提供的文本中识别出明确的论文题目信息,文本中没有可辨认的标题内容。请确认封面信息是否完整或提供更清晰的文本。-2087字.docx 第3页
无法从提供的文本中识别出明确的论文题目信息,文本中没有可辨认的标题内容。请确认封面信息是否完整或提供更清晰的文本。-2087字.docx 第4页
无法从提供的文本中识别出明确的论文题目信息,文本中没有可辨认的标题内容。请确认封面信息是否完整或提供更清晰的文本。-2087字.docx 第5页
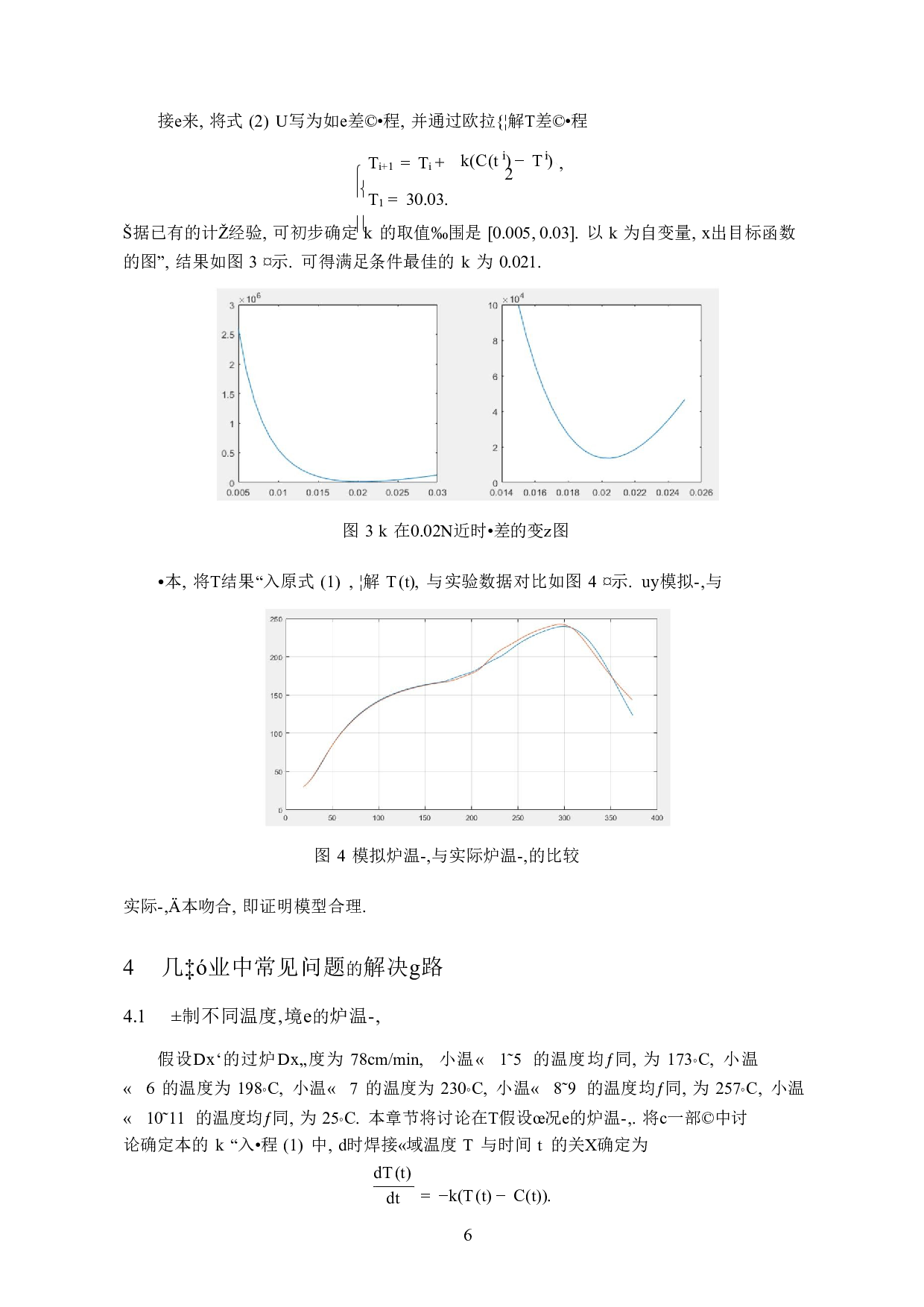
无法从提供的文本中识别出明确的论文题目信息,文本中没有可辨认的标题内容。请确认封面信息是否完整或提供更清晰的文本。-2087字.docx 第6页
无法从提供的文本中识别出明确的论文题目信息,文本中没有可辨认的标题内容。请确认封面信息是否完整或提供更清晰的文本。-2087字.docx 第7页
无法从提供的文本中识别出明确的论文题目信息,文本中没有可辨认的标题内容。请确认封面信息是否完整或提供更清晰的文本。-2087字.docx 第8页
无法从提供的文本中识别出明确的论文题目信息,文本中没有可辨认的标题内容。请确认封面信息是否完整或提供更清晰的文本。-2087字.docx 第9页
无法从提供的文本中识别出明确的论文题目信息,文本中没有可辨认的标题内容。请确认封面信息是否完整或提供更清晰的文本。-2087字.docx 第10页
剩余3页未读, 下载浏览全部
8 ¹ 1 Ú ó 2 2 ꢀ . ꢁ O ꢁ † ï á 2 2 4 2.1 Å ꢁ « • § Ý C z ꢁ ‡ © ꢀ . . . . . . . . . . . . . . . . . . . . . . . . . 2.2 Ï L Á & ¦ ) { ( ½ X ê k . . . . . . . . . . . . . . . . . . . . . . . . . 3 ꢀ . ꢁ Œ 15 u ꢁ 4 4 A ‡ó ’ ¥ ~ „ ¯ K ꢁ )û g ´ 6 6 7 8 9 4.1 ± › Ø Ó § Ý ‚ ¸ e ꢁ ¬ § - ‚ . . . . . . . . . . . . . . . . . . . . . . . 4.2 L ¬
无法从提供的文本中识别出明确的论文题目信息,文本中没有可辨认的标题内容。请确认封面信息是否完整或提供更清晰的文本。-2087字.docx