文库 经济学 金融学

基于GARCH模型的沪深300股票指数价格波动性及影响因素研究-9015字.docx

2022及前全 DOCX   19页   下载0   2026-01-13   浏览3   收藏0   点赞0   评分-   11959字   20.00
温馨提示:当前文档最多只能预览 10 页,若文档总页数超出了 10 页,请下载原文档以浏览全部内容。
基于GARCH模型的沪深300股票指数价格波动性及影响因素研究-9015字.docx 第1页
基于GARCH模型的沪深300股票指数价格波动性及影响因素研究-9015字.docx 第2页
基于GARCH模型的沪深300股票指数价格波动性及影响因素研究-9015字.docx 第3页
基于GARCH模型的沪深300股票指数价格波动性及影响因素研究-9015字.docx 第4页
基于GARCH模型的沪深300股票指数价格波动性及影响因素研究-9015字.docx 第5页
基于GARCH模型的沪深300股票指数价格波动性及影响因素研究-9015字.docx 第6页
基于GARCH模型的沪深300股票指数价格波动性及影响因素研究-9015字.docx 第7页
基于GARCH模型的沪深300股票指数价格波动性及影响因素研究-9015字.docx 第8页
基于GARCH模型的沪深300股票指数价格波动性及影响因素研究-9015字.docx 第9页
基于GARCH模型的沪深300股票指数价格波动性及影响因素研究-9015字.docx 第10页
剩余9页未读, 下载浏览全部
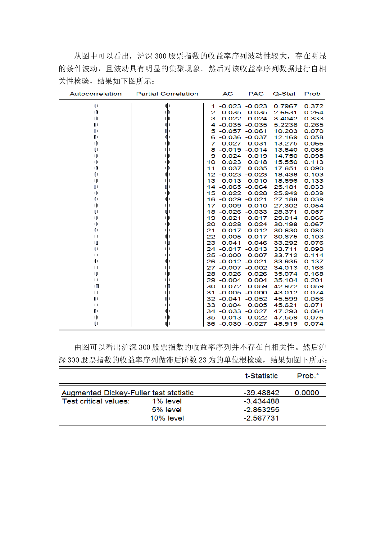
基于GARCH模型的沪深300股票 指数价格波动性及影响因素研究 摘 要 股票市场作为 金融市场的一部分,被称为国家的经济晴雨表, 股票市场的波动毫无疑问也关系着一个国家经济的波动。本文以沪深300 股票 指数作为股票市场情况的代表, 选取沪深300股票指数在2016年到2021年这6年内的收盘价数据作为样本进行研究分析。首先对该收盘价序列数据进行描述性分析,对其做一阶差分后的收益率序列进行检验,并认为该收益率序列数据可以用于 估计股票市场波动率的有效性,再采用GARCH (1,1) 模型对 其 收益率序列 数据 进行分析, 观察 该收益率序
基于GARCH模型的沪深300股票指数价格波动性及影响因素研究-9015字.docx