文库 计算机 计算机科学与技术

互联网+沉浸式B2C交互新运营线上点餐系统开发-8397字.docx

2022及前全 DOCX   23页   下载0   2026-01-15   浏览0   收藏0   点赞0   评分-   10046字   20.00
温馨提示:当前文档最多只能预览 10 页,若文档总页数超出了 10 页,请下载原文档以浏览全部内容。
互联网+沉浸式B2C交互新运营线上点餐系统开发-8397字.docx 第1页
互联网+沉浸式B2C交互新运营线上点餐系统开发-8397字.docx 第2页
互联网+沉浸式B2C交互新运营线上点餐系统开发-8397字.docx 第3页
互联网+沉浸式B2C交互新运营线上点餐系统开发-8397字.docx 第4页
互联网+沉浸式B2C交互新运营线上点餐系统开发-8397字.docx 第5页
互联网+沉浸式B2C交互新运营线上点餐系统开发-8397字.docx 第6页
互联网+沉浸式B2C交互新运营线上点餐系统开发-8397字.docx 第7页
互联网+沉浸式B2C交互新运营线上点餐系统开发-8397字.docx 第8页
互联网+沉浸式B2C交互新运营线上点餐系统开发-8397字.docx 第9页
互联网+沉浸式B2C交互新运营线上点餐系统开发-8397字.docx 第10页
剩余13页未读, 下载浏览全部
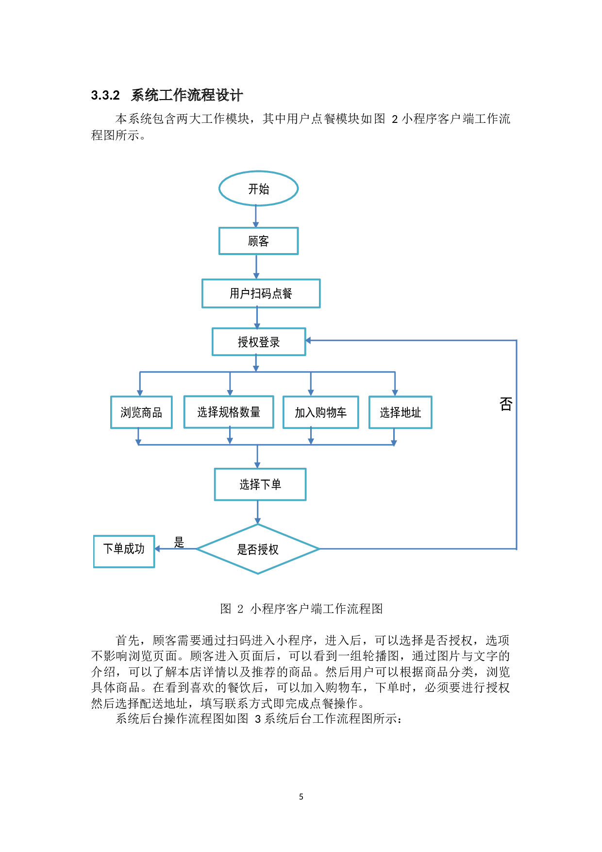
目 录 1 引言 1 1.1 研究意义 1 1.2 研究现状 1 2 相关理论与关键技术 2 2.1 B2C 2 2.2 uni-app 2 2.3 微信小程序技术 2 3 系统分析与总体设计 3 3.1 系统需求分析 3 3.2 系统可行性分析 3 3.2.1 经济可行性 3 3.2.2 技术可行性 4 3.2.3 操作可行性 4 3.3 总体设计 4 3.3.1 系统功能模块设计 4 3.3.2 系统工作流程设计 5 4 系统设计与实现 7 4.1 顾客功能模块 7 4.1.1 授权登录 7 4.1.2 小程序主界面 8 4.1.3 点餐界面 8 4.1.4 购物车界面 9 4.1.5 下单界面 9 4.2 管理员功能模块 10 4.2.1 管理员主界面 10 4.2.2 店铺设置 11 4.2.3 订
互联网+沉浸式B2C交互新运营线上点餐系统开发-8397字.docx