文库 注册会计师 审计

广东索奇电器科技公司固定资产预控审计研究-10580字.docx

DOCX   18页   下载0   2025-10-29   浏览35   收藏0   点赞0   评分-   13357字   6积分
温馨提示:当前文档最多只能预览 10 页,若文档总页数超出了 10 页,请下载原文档以浏览全部内容。
广东索奇电器科技公司固定资产预控审计研究-10580字.docx 第1页
广东索奇电器科技公司固定资产预控审计研究-10580字.docx 第2页
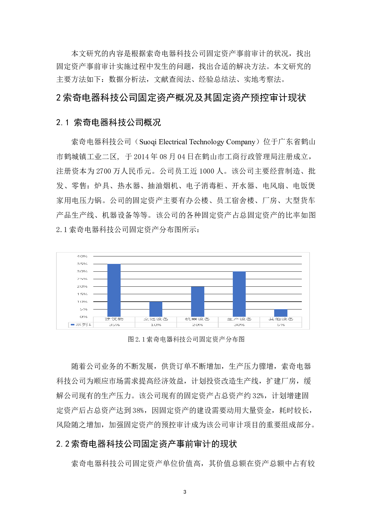
广东索奇电器科技公司固定资产预控审计研究-10580字.docx 第3页
广东索奇电器科技公司固定资产预控审计研究-10580字.docx 第4页
广东索奇电器科技公司固定资产预控审计研究-10580字.docx 第5页
广东索奇电器科技公司固定资产预控审计研究-10580字.docx 第6页
广东索奇电器科技公司固定资产预控审计研究-10580字.docx 第7页
广东索奇电器科技公司固定资产预控审计研究-10580字.docx 第8页
广东索奇电器科技公司固定资产预控审计研究-10580字.docx 第9页
广东索奇电器科技公司固定资产预控审计研究-10580字.docx 第10页
剩余8页未读, 下载浏览全部
目录 1 绪论 1 1.1研究的目的及意义 1 1.1.1研究的目的 1 1.1.2研究的意义 1 1.2国内外相关研究现状文献综述 1 1.2.1国外相关研究现状文献综述 1 1.2.2国内相关研究现状文献综述 2 1.3研究内容和研究方法 2 2索奇电器科技公司固定资产概况及其固定资产预控审计现状 3 2.1 索奇电器科技公司概况 3 2.2索奇电器科技公司固定资产事前审计的现状 3 3 索奇电器科技公司固定资产预控审计存在的问题 4 3.1建造厂房、员工宿舍招标项目事前审计执行缺乏独立性 4 3.2 固定资产投资计划事前审计执行缺乏有效性 5 3.3固定资产审计工作的事前审计人员配
广东索奇电器科技公司固定资产预控审计研究-10580字.docx