文库 计算机 计算机科学与技术

自动泊车系统设计-15281字.docx

2022及前全 DOCX   53页   下载0   2026-01-15   浏览0   收藏0   点赞0   评分-   19536字   20.00
温馨提示:当前文档最多只能预览 10 页,若文档总页数超出了 10 页,请下载原文档以浏览全部内容。
自动泊车系统设计-15281字.docx 第1页
自动泊车系统设计-15281字.docx 第2页
自动泊车系统设计-15281字.docx 第3页
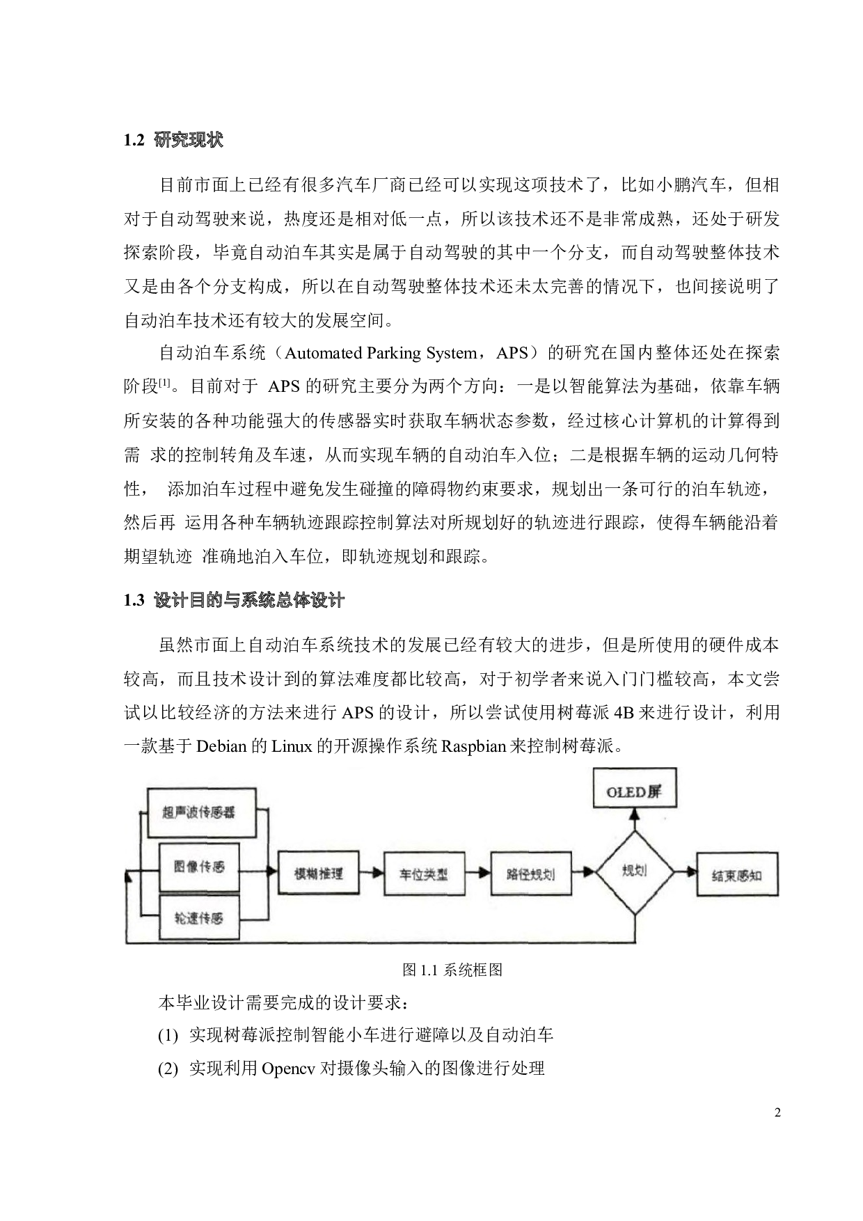
自动泊车系统设计-15281字.docx 第4页
自动泊车系统设计-15281字.docx 第5页
自动泊车系统设计-15281字.docx 第6页
自动泊车系统设计-15281字.docx 第7页
自动泊车系统设计-15281字.docx 第8页
自动泊车系统设计-15281字.docx 第9页
自动泊车系统设计-15281字.docx 第10页
剩余43页未读, 下载浏览全部
本科毕业设计(论文) 自动泊车系统设计 学 院 物理与光电工程学院 专 业 电子 科学与技术 年级班别 20 1 8 级 电子 ( 1 )班 学 号 3118007220 学生姓名 杨文超 指导教师 陈元电 20 22 年 4 月 自动泊车系统设计 杨文超 物理与光电工程学院
自动泊车系统设计-15281字.docx