添加到电脑桌面
添加到电脑桌面,以后点击桌面图标一键打开,无需搜索,非常快捷!
立即添加
资源篮
0
普通会员
限时优惠
登录
文档分类
计算机
金融/投资/证券
医药卫生
汽车/机械
外语学习
法律/法规/法学
研究生考试
电子工程
经济/贸易/财会
建筑/施工
幼儿/小学教育
文学/历史
教师资格考试
学术论文
上传下载
我要上传
上传规定
关于下载
下载须知
上传说明
投稿帮助
关于积分
关于提现
新手攻略
文档认领
特殊渠道特权
VIP收益说明
协议条款
用户协议
隐私政策
商户服务协议
上传积分文档协议
会员服务协议
文库
计算机
计算机科学与技术
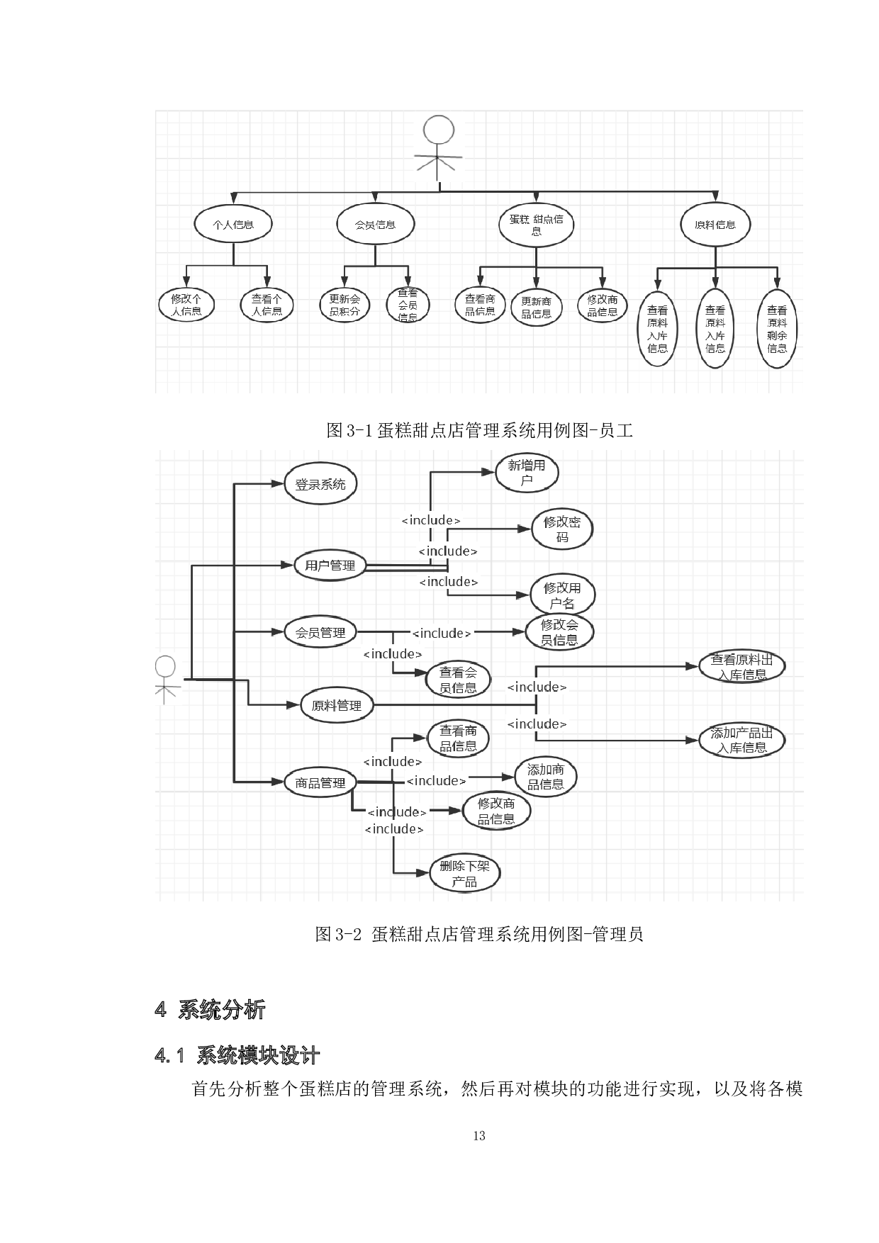
基于web的蛋糕甜点店系统的设计与实现-9698字.doc
2022及前全
DOC
31页
下载0
2026-01-16
浏览6
收藏0
点赞0
评分-
20.00
温馨提示:当前文档最多只能预览 10 页,若文档总页数超出了 10 页,请下载原文档以浏览全部内容。
剩余21页未读,
下载浏览全部
收藏
已收藏
喜欢
已喜欢
文档描述
基于web的蛋糕甜点店系统的设计与实现-9698字.doc
我烤箱咋滴
这个人很懒,什么都没留下
个人认证
查看用户
该文档于
上传
推荐文档
最新文档
基于SSM框架的中医药临床诊治信息综合管理平台的设计与实现-10960字.pdf
基于Android的移动学习平台的设计与实现-14498字.pdf
基于Android的小说阅读器的设计和实现-11588字.docx
基于MNE-Python的EEG信号处理分析研究-18313字.docx
基于Go语言的网络安全攻防对抗自动化渗透平台的设计与实现-18384字.docx
基于Springboot+Vue的机房排课管理系统-11076字.docx
基于SSM框架的融资租赁管理系统的设计与实现-14115字.docx
基于SSM框架的野生动物救助管理系统的设计与实现-14875字.pdf
基于SpringMVC框架的海外代货平台管理系统的设计与实现-12753字.docx
基于SSM的图书馆管理系统的设计与实现-13368字.pdf