文库 体育教育与运动训练 冰雪运动

后冬奥时期张家口市经开区第一小学冰雪运动发展趋势及优化路径-11825字.docx

2023全 DOCX   20页   下载0   2026-01-28   浏览1   收藏0   点赞0   评分-   15149字   40.00
温馨提示:当前文档最多只能预览 10 页,若文档总页数超出了 10 页,请下载原文档以浏览全部内容。
后冬奥时期张家口市经开区第一小学冰雪运动发展趋势及优化路径-11825字.docx 第1页
后冬奥时期张家口市经开区第一小学冰雪运动发展趋势及优化路径-11825字.docx 第2页
后冬奥时期张家口市经开区第一小学冰雪运动发展趋势及优化路径-11825字.docx 第3页
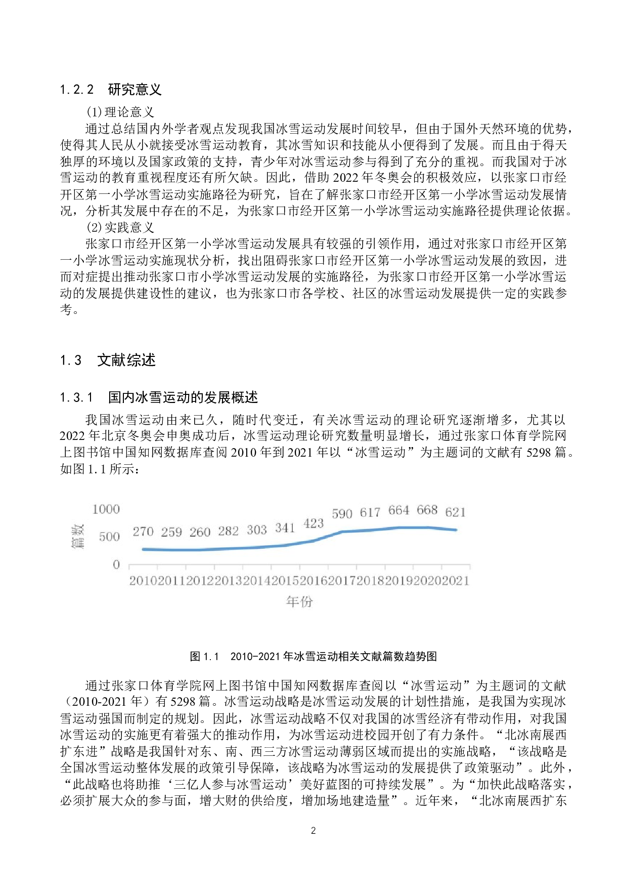
后冬奥时期张家口市经开区第一小学冰雪运动发展趋势及优化路径-11825字.docx 第4页
后冬奥时期张家口市经开区第一小学冰雪运动发展趋势及优化路径-11825字.docx 第5页
后冬奥时期张家口市经开区第一小学冰雪运动发展趋势及优化路径-11825字.docx 第6页
后冬奥时期张家口市经开区第一小学冰雪运动发展趋势及优化路径-11825字.docx 第7页
后冬奥时期张家口市经开区第一小学冰雪运动发展趋势及优化路径-11825字.docx 第8页
后冬奥时期张家口市经开区第一小学冰雪运动发展趋势及优化路径-11825字.docx 第9页
后冬奥时期张家口市经开区第一小学冰雪运动发展趋势及优化路径-11825字.docx 第10页
剩余10页未读, 下载浏览全部
毕业设计(论文)原创性声明 本人所提交的毕业设计(论文)《后冬奥时期张家口市经开区第一小学冰雪运动发展趋势及优化路径》,是在导师的指导下,独立进行研究工作所取得的原创性成果。除文中已经注明引用的内容外,本论文不包含任何其他个人或集体已经发表或撰写过的研究成果。对本文的研究做出重要贡献的个人和集体,均已在文中标明。 本声明的法律后果由本人承担。 论文作者(签名): 指导教师确认(签名): 2023年 6 月 1 日 2023 年 6 月1 日 毕业设计(论文)版权使用授权书 本毕业设计(论
后冬奥时期张家口市经开区第一小学冰雪运动发展趋势及优化路径-11825字.docx