文库 医学护理 中药

柴胡桂枝汤中挥发油对H1N1型PR8株流感病毒感染小鼠的干预作用-7631字.pdf

2023全 PDF   17页   下载0   2026-01-31   浏览6   收藏0   点赞0   评分-   10819字   40.00
温馨提示:当前文档最多只能预览 10 页,若文档总页数超出了 10 页,请下载原文档以浏览全部内容。
柴胡桂枝汤中挥发油对H1N1型PR8株流感病毒感染小鼠的干预作用-7631字.pdf 第1页
柴胡桂枝汤中挥发油对H1N1型PR8株流感病毒感染小鼠的干预作用-7631字.pdf 第2页
柴胡桂枝汤中挥发油对H1N1型PR8株流感病毒感染小鼠的干预作用-7631字.pdf 第3页
柴胡桂枝汤中挥发油对H1N1型PR8株流感病毒感染小鼠的干预作用-7631字.pdf 第4页
柴胡桂枝汤中挥发油对H1N1型PR8株流感病毒感染小鼠的干预作用-7631字.pdf 第5页
柴胡桂枝汤中挥发油对H1N1型PR8株流感病毒感染小鼠的干预作用-7631字.pdf 第6页
柴胡桂枝汤中挥发油对H1N1型PR8株流感病毒感染小鼠的干预作用-7631字.pdf 第7页
柴胡桂枝汤中挥发油对H1N1型PR8株流感病毒感染小鼠的干预作用-7631字.pdf 第8页
柴胡桂枝汤中挥发油对H1N1型PR8株流感病毒感染小鼠的干预作用-7631字.pdf 第9页
柴胡桂枝汤中挥发油对H1N1型PR8株流感病毒感染小鼠的干预作用-7631字.pdf 第10页
剩余7页未读, 下载浏览全部
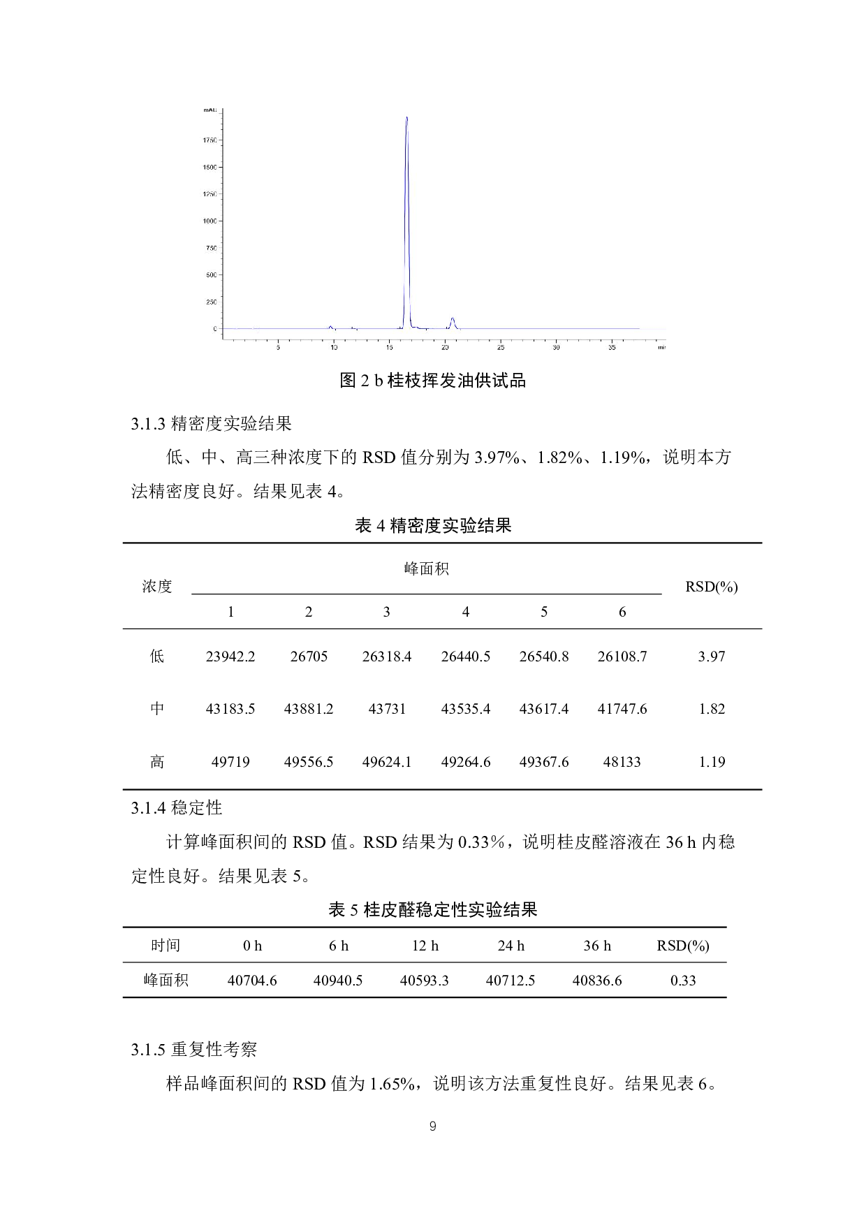
1 柴胡桂枝汤中挥发油对H1N1型PR8株流感病毒感染小鼠 的干预作用 韩蓉 (2019级中药学专业4班学号:2019123476) [摘要]目的:研究柴胡桂枝汤中挥发油对H1N1型PR8株流感病毒感染小鼠的干预作用。 方法:采用水蒸气蒸馏法提取柴胡桂枝汤中挥发油,并利用HPLC对挥发油中主要成分桂皮 醛进行含量测定;采用滴鼻感染方式复制H1N1型PR8株流感病毒感染小鼠模型,测定小 鼠体重、肛温等宏观药理学指标,给药5天后,处死小鼠,计算小鼠脏器指数。结果:优化 了桂枝挥发油中桂皮醛定量检测方法,方法学考察结果显示该方法准确可行;成功复制了小 鼠
柴胡桂枝汤中挥发油对H1N1型PR8株流感病毒感染小鼠的干预作用-7631字.pdf