文库 建筑与工程管理 港口航道与海岸工程

江苏连云港GY渔港工程设计-19664字.docx

2023全 DOCX   94页   下载0   2026-01-28   浏览1   收藏0   点赞0   评分-   32530字   40.00
温馨提示:当前文档最多只能预览 10 页,若文档总页数超出了 10 页,请下载原文档以浏览全部内容。
江苏连云港GY渔港工程设计-19664字.docx 第1页
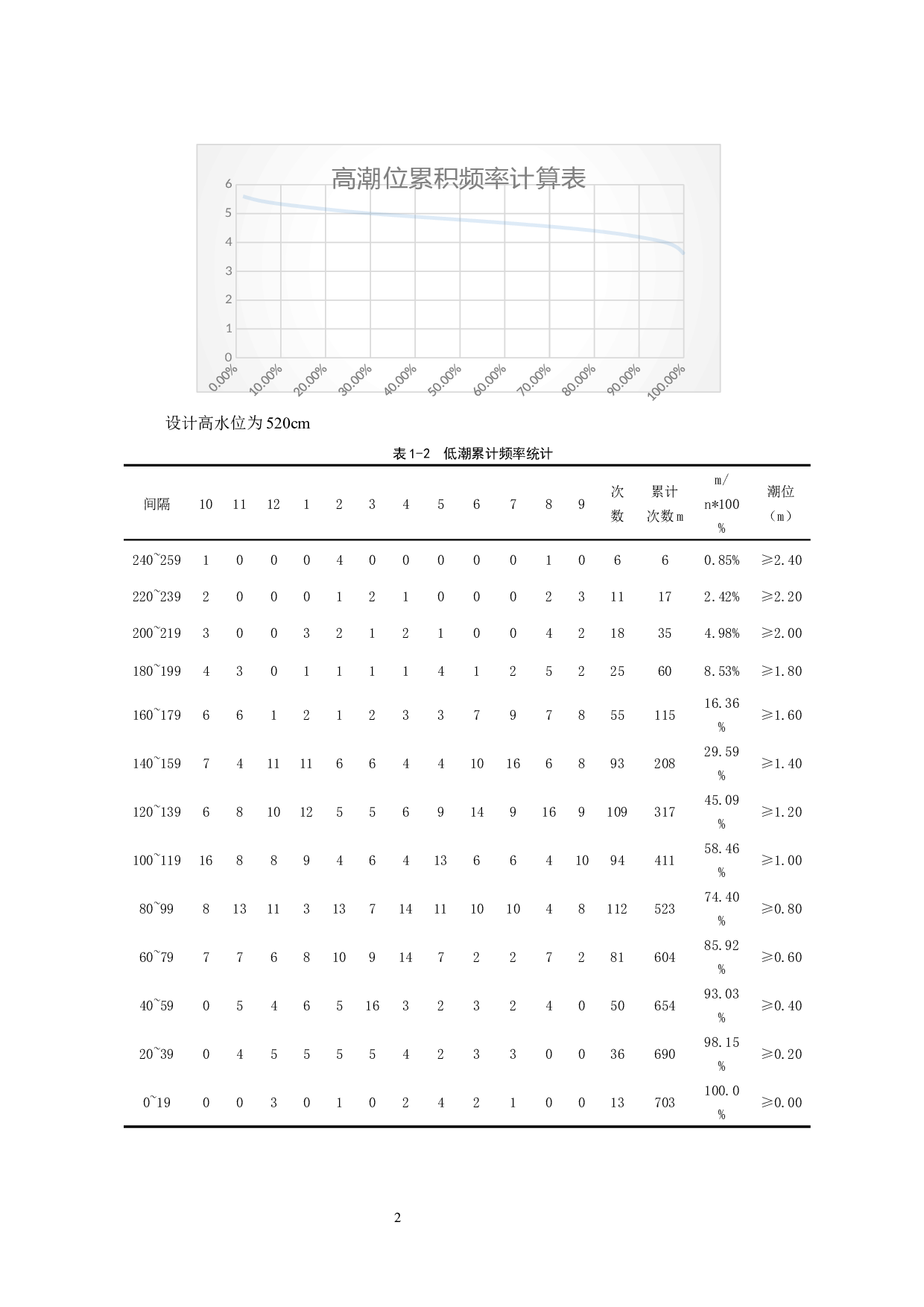
江苏连云港GY渔港工程设计-19664字.docx 第2页
江苏连云港GY渔港工程设计-19664字.docx 第3页
江苏连云港GY渔港工程设计-19664字.docx 第4页
江苏连云港GY渔港工程设计-19664字.docx 第5页
江苏连云港GY渔港工程设计-19664字.docx 第6页
江苏连云港GY渔港工程设计-19664字.docx 第7页
江苏连云港GY渔港工程设计-19664字.docx 第8页
江苏连云港GY渔港工程设计-19664字.docx 第9页
江苏连云港GY渔港工程设计-19664字.docx 第10页
剩余84页未读, 下载浏览全部
目录 摘要 V Abstract VI 前言 VII 第一章 原始资料分析 1 1.1 设计潮位推算 1 1.1.1 设计高水位 设计低水位推算 1 1.1. 2 极端高水位 和 极端低水位推算 3 1.2 原始风资料分析 3 1.2.1 概念梳理 3 1.2.2 风玫瑰图绘制 3 1.2.3 来波方向分析 4 1.2.4 风速换算 5 1.2.5 推求设计风速 8 1.3 设计波浪的推算 11 1.3.1 概念梳理 11 1.3.2 原始波浪要素计算 12 1.3.3 浅水波浪要素换算 13 1.3.4 各种累计频率波高换算 15 第二章 码头总平面布置 17 2.1 一般要求与注意事项 17 2.2
江苏连云港GY渔港工程设计-19664字.docx