文库 历史文化与思想政治 法学

一带一路背景下国际投资争端解决机制初探-11599字.docx

2022及前全 DOCX   23页   下载0   2026-01-15   浏览0   收藏0   点赞0   评分-   14373字   20.00
温馨提示:当前文档最多只能预览 10 页,若文档总页数超出了 10 页,请下载原文档以浏览全部内容。
一带一路背景下国际投资争端解决机制初探-11599字.docx 第1页
一带一路背景下国际投资争端解决机制初探-11599字.docx 第2页
一带一路背景下国际投资争端解决机制初探-11599字.docx 第3页
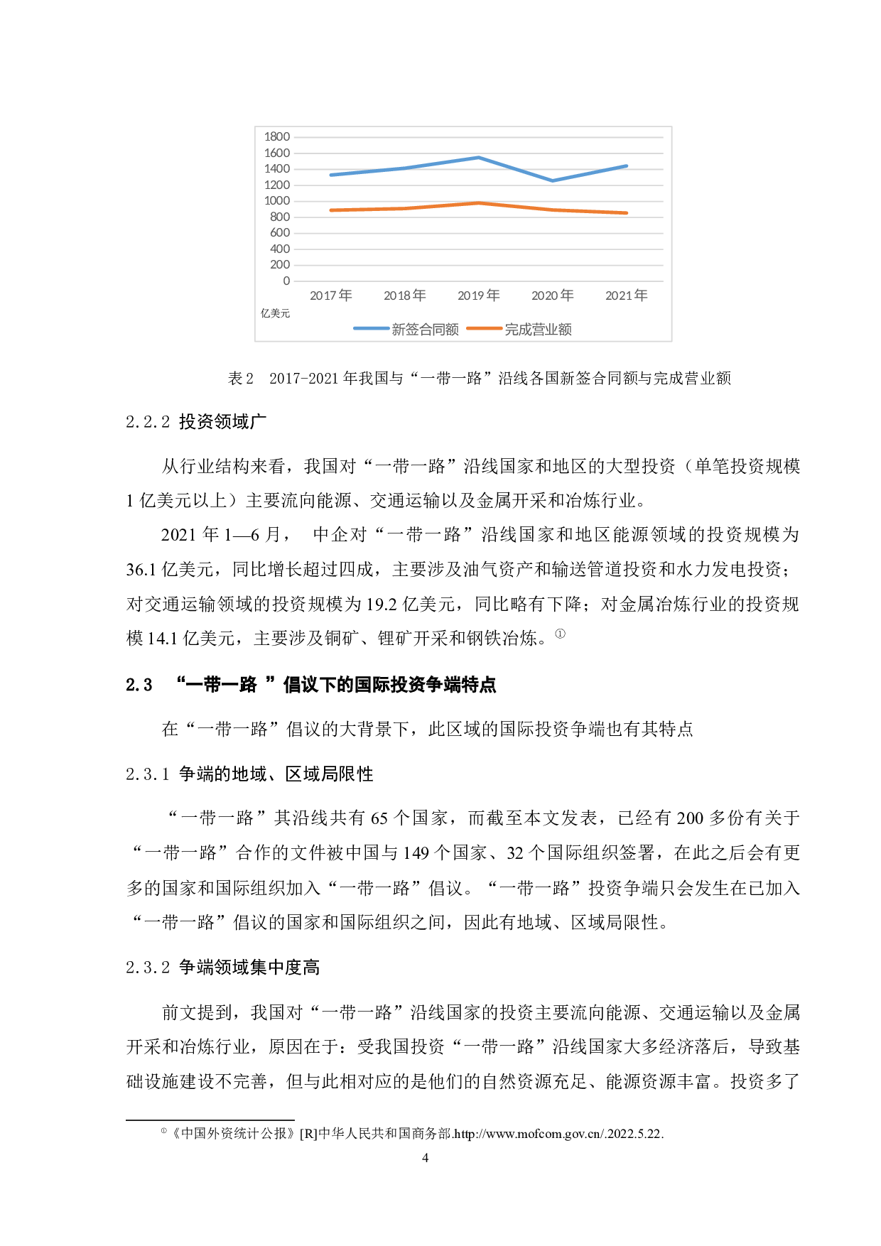
一带一路背景下国际投资争端解决机制初探-11599字.docx 第4页
一带一路背景下国际投资争端解决机制初探-11599字.docx 第5页
一带一路背景下国际投资争端解决机制初探-11599字.docx 第6页
一带一路背景下国际投资争端解决机制初探-11599字.docx 第7页
一带一路背景下国际投资争端解决机制初探-11599字.docx 第8页
一带一路背景下国际投资争端解决机制初探-11599字.docx 第9页
一带一路背景下国际投资争端解决机制初探-11599字.docx 第10页
剩余13页未读, 下载浏览全部
摘要 21世纪以来,全球经济形势日渐乏力,国际金融危机的影响日渐凸显,各国发展局势日益严峻。在此背景下,我国提出了“一带一路”倡议,期望以区域合作带动全球贸易体系发展,彰显对全球治理新模式的积极探索,为世界发展贡献力量。 然而,“一带一路”倡议沿国沿线各国经济水平参差不齐,政治环境不稳、战争频发等问题日渐凸显,随着投资和建设不断推进,全新的投资争端也开始“各显身手”。现有的国际投资争端解决机制在适用时呈现出“水土不服”的状态,如果没有切合本区域的投资争端解决机制来化解这些投资争端,“一带一路”倡议将难以为继。
一带一路背景下国际投资争端解决机制初探-11599字.docx