文库 地质与地理 地理

基于情景模拟的城市暴雨内涝积水淹没分析-8910字.docx

2022及前全 DOCX   16页   下载0   2026-01-15   浏览0   收藏0   点赞0   评分-   11815字   20.00
温馨提示:当前文档最多只能预览 10 页,若文档总页数超出了 10 页,请下载原文档以浏览全部内容。
基于情景模拟的城市暴雨内涝积水淹没分析-8910字.docx 第1页
基于情景模拟的城市暴雨内涝积水淹没分析-8910字.docx 第2页
基于情景模拟的城市暴雨内涝积水淹没分析-8910字.docx 第3页
基于情景模拟的城市暴雨内涝积水淹没分析-8910字.docx 第4页
基于情景模拟的城市暴雨内涝积水淹没分析-8910字.docx 第5页
基于情景模拟的城市暴雨内涝积水淹没分析-8910字.docx 第6页
基于情景模拟的城市暴雨内涝积水淹没分析-8910字.docx 第7页
基于情景模拟的城市暴雨内涝积水淹没分析-8910字.docx 第8页
基于情景模拟的城市暴雨内涝积水淹没分析-8910字.docx 第9页
基于情景模拟的城市暴雨内涝积水淹没分析-8910字.docx 第10页
剩余6页未读, 下载浏览全部
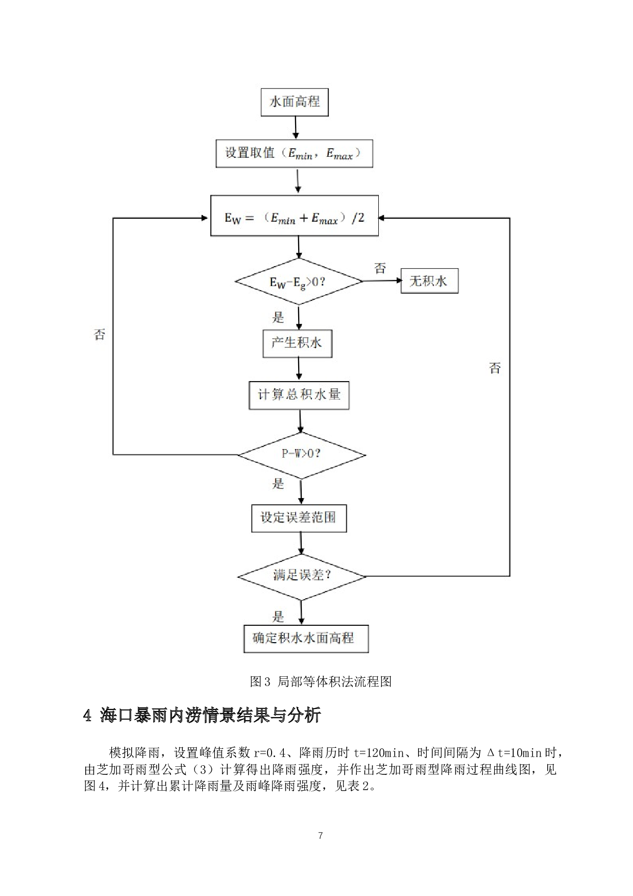
目 录 1 引言 1 2 研究区状况与数据来源 2 2.1 研究区状况 2 2.2 数据来源 4 3 研究方法 4 3.1 降雨过程模拟 5 3.2 降雨产流过程模拟 6 3.3 汇流过程模拟 7 4 海口暴雨内涝情景结果与分析 8 5 建议 13 6 结论与讨论 13 6.1 结论 13 6.2 讨论 13 参考文献: 14 致 谢 15 基于情景模拟的城市暴雨内涝 积水 淹没 分析 —— 以海口主城区为例 作者: 莫思婷 指导教师: 马东来 (海南师范大学地理与环境科学学院,海口, 571158) 摘 要 : 在全球气候变暖背景下,海口市城市内涝易发,而 海口主城区人口、交通、经济等要素高
基于情景模拟的城市暴雨内涝积水淹没分析-8910字.docx