文库 机械管理与电气自动化 自动化

便携式浅层土壤耕作机的设计——施肥机构及行进装置设计-12468字.docx

2022及前全 DOCX   38页   下载0   2026-01-12   浏览6   收藏0   点赞0   评分-   15526字   20.00
温馨提示:当前文档最多只能预览 10 页,若文档总页数超出了 10 页,请下载原文档以浏览全部内容。
便携式浅层土壤耕作机的设计——施肥机构及行进装置设计-12468字.docx 第1页
便携式浅层土壤耕作机的设计——施肥机构及行进装置设计-12468字.docx 第2页
便携式浅层土壤耕作机的设计——施肥机构及行进装置设计-12468字.docx 第3页
便携式浅层土壤耕作机的设计——施肥机构及行进装置设计-12468字.docx 第4页
便携式浅层土壤耕作机的设计——施肥机构及行进装置设计-12468字.docx 第5页
便携式浅层土壤耕作机的设计——施肥机构及行进装置设计-12468字.docx 第6页
便携式浅层土壤耕作机的设计——施肥机构及行进装置设计-12468字.docx 第7页
便携式浅层土壤耕作机的设计——施肥机构及行进装置设计-12468字.docx 第8页
便携式浅层土壤耕作机的设计——施肥机构及行进装置设计-12468字.docx 第9页
便携式浅层土壤耕作机的设计——施肥机构及行进装置设计-12468字.docx 第10页
剩余28页未读, 下载浏览全部
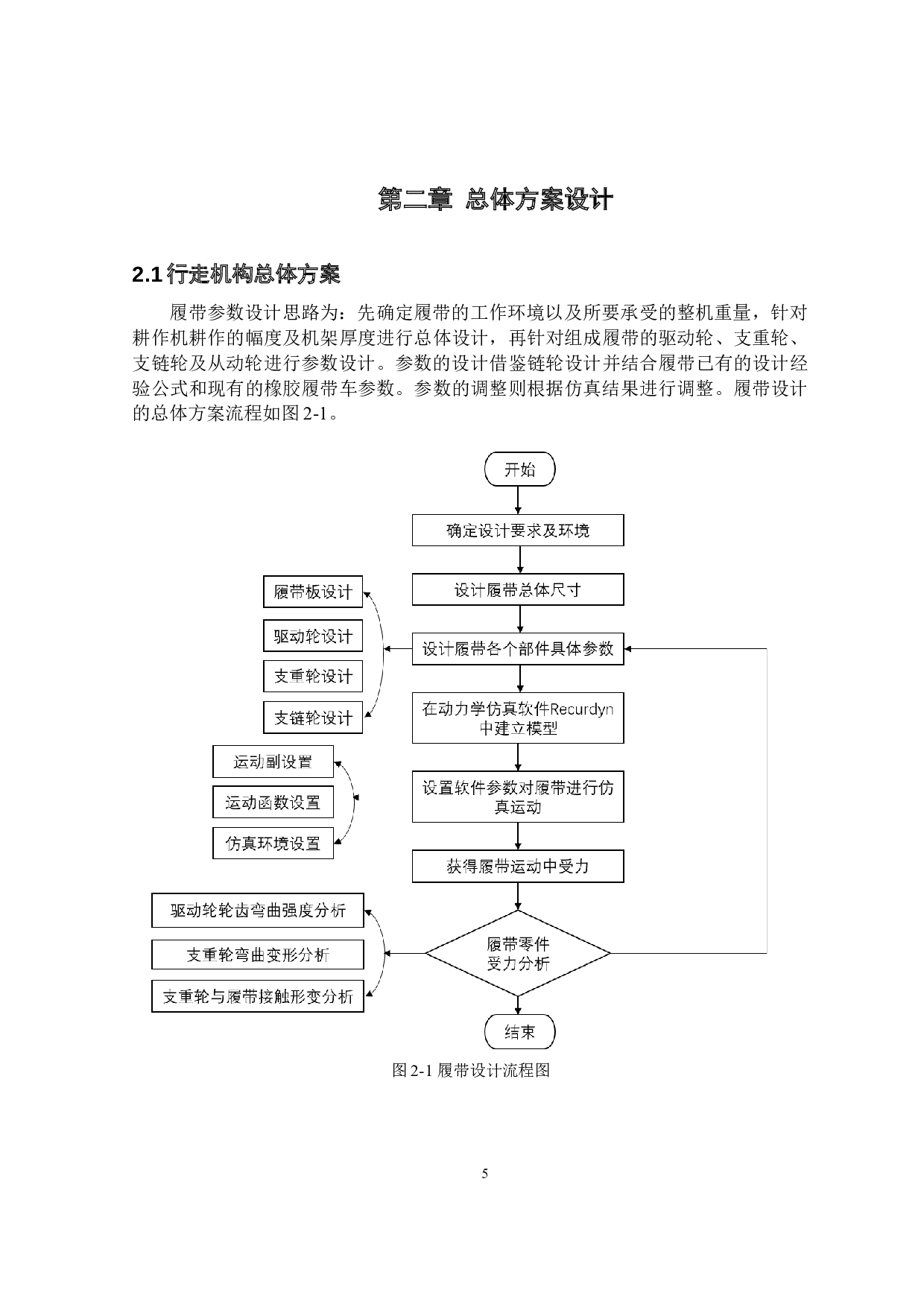
便携式浅层土壤耕作机的设计 ——施肥机构及行进装置设计 摘要 近年国家对农业农村的发展给予了高度重视,但适用于小面积的梯田 、 山区丘陵等地区 以及家庭花园 的农作机械却很少。造成这个结果的原因一方面是此类地区人均购买力不足,另一方面在于此类地区 人均耕地面积较小 。 本课题组就此问题出发,设计出一款集除草、松土和施肥于一体的便携式浅层土壤耕作机。本课题主要研究 耕作机 的行走装置和施肥机构 。行走装置设计的对象是橡胶履带。设计方法为先根据 耕作机 的要求设计出橡胶履带各个零件的参数,由参数在动力学仿真软件 Recu
便携式浅层土壤耕作机的设计——施肥机构及行进装置设计-12468字.docx