文库 机械管理与电气自动化 机械设计

基于生成对抗网络模型的旋转机器故障-13292字.pdf

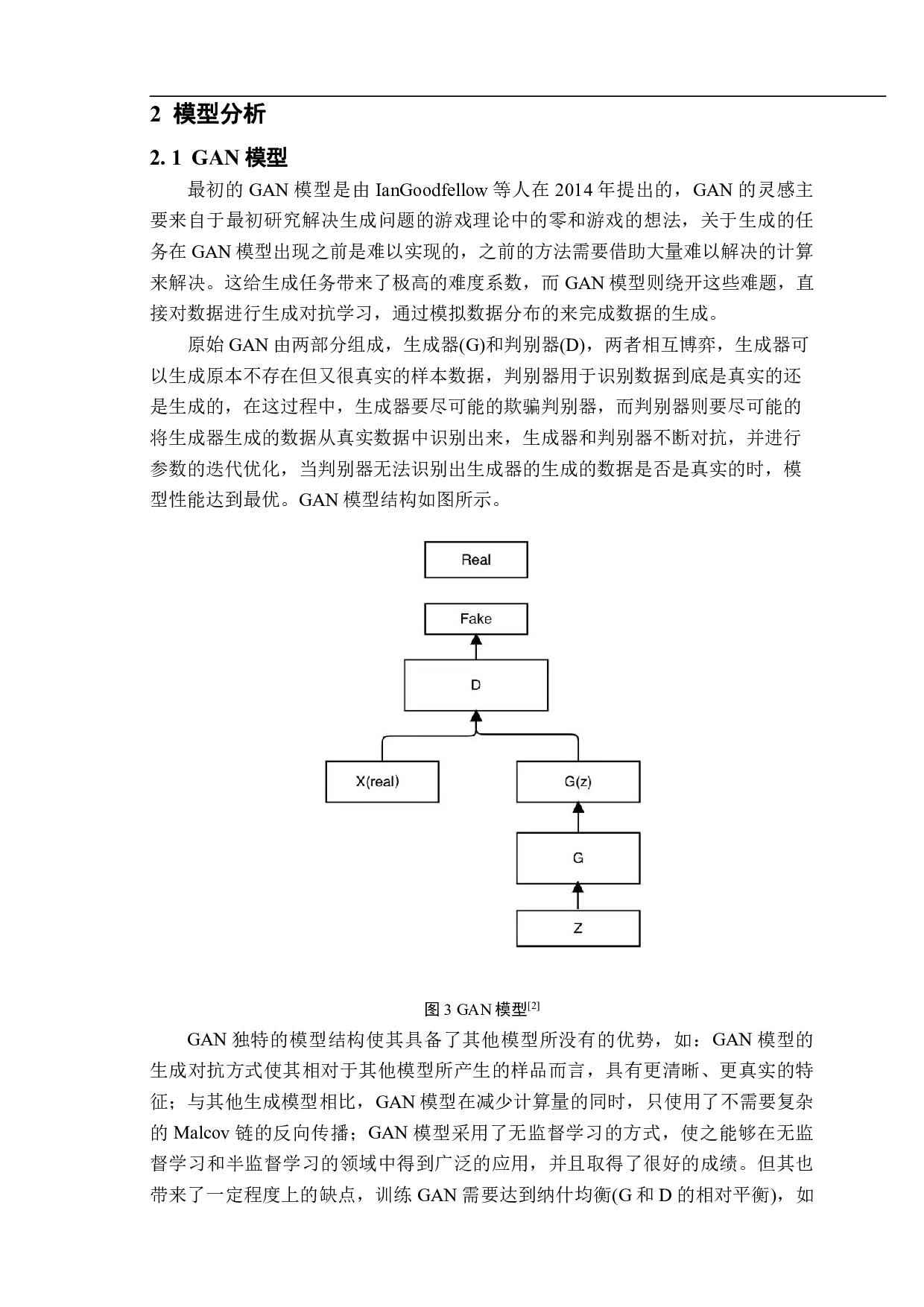
2023全 PDF   29页   下载0   2026-01-29   浏览2   收藏0   点赞0   评分-   24907字   40.00
温馨提示:当前文档最多只能预览 10 页,若文档总页数超出了 10 页,请下载原文档以浏览全部内容。
基于生成对抗网络模型的旋转机器故障-13292字.pdf 第1页
基于生成对抗网络模型的旋转机器故障-13292字.pdf 第2页
基于生成对抗网络模型的旋转机器故障-13292字.pdf 第3页
基于生成对抗网络模型的旋转机器故障-13292字.pdf 第4页
基于生成对抗网络模型的旋转机器故障-13292字.pdf 第5页
基于生成对抗网络模型的旋转机器故障-13292字.pdf 第6页
基于生成对抗网络模型的旋转机器故障-13292字.pdf 第7页
基于生成对抗网络模型的旋转机器故障-13292字.pdf 第8页
基于生成对抗网络模型的旋转机器故障-13292字.pdf 第9页
基于生成对抗网络模型的旋转机器故障-13292字.pdf 第10页
剩余19页未读, 下载浏览全部
目录 1引言................................................................................................................................2 1.1研究背景及意义..............................................................................................2 1.2国内外研究现状..............................................................................................3 1.3本文结构..........................................................................................................5 2模型分析...
基于生成对抗网络模型的旋转机器故障-13292字.pdf