文库 建筑与工程管理 交通运输

EE平台的公交车辆运行监控系统的设计与实现-12014字.docx

DOCX   36页   下载0   2025-10-28   浏览38   收藏0   点赞0   评分-   18605字   6积分
温馨提示:当前文档最多只能预览 10 页,若文档总页数超出了 10 页,请下载原文档以浏览全部内容。
EE平台的公交车辆运行监控系统的设计与实现-12014字.docx 第1页
EE平台的公交车辆运行监控系统的设计与实现-12014字.docx 第2页
EE平台的公交车辆运行监控系统的设计与实现-12014字.docx 第3页
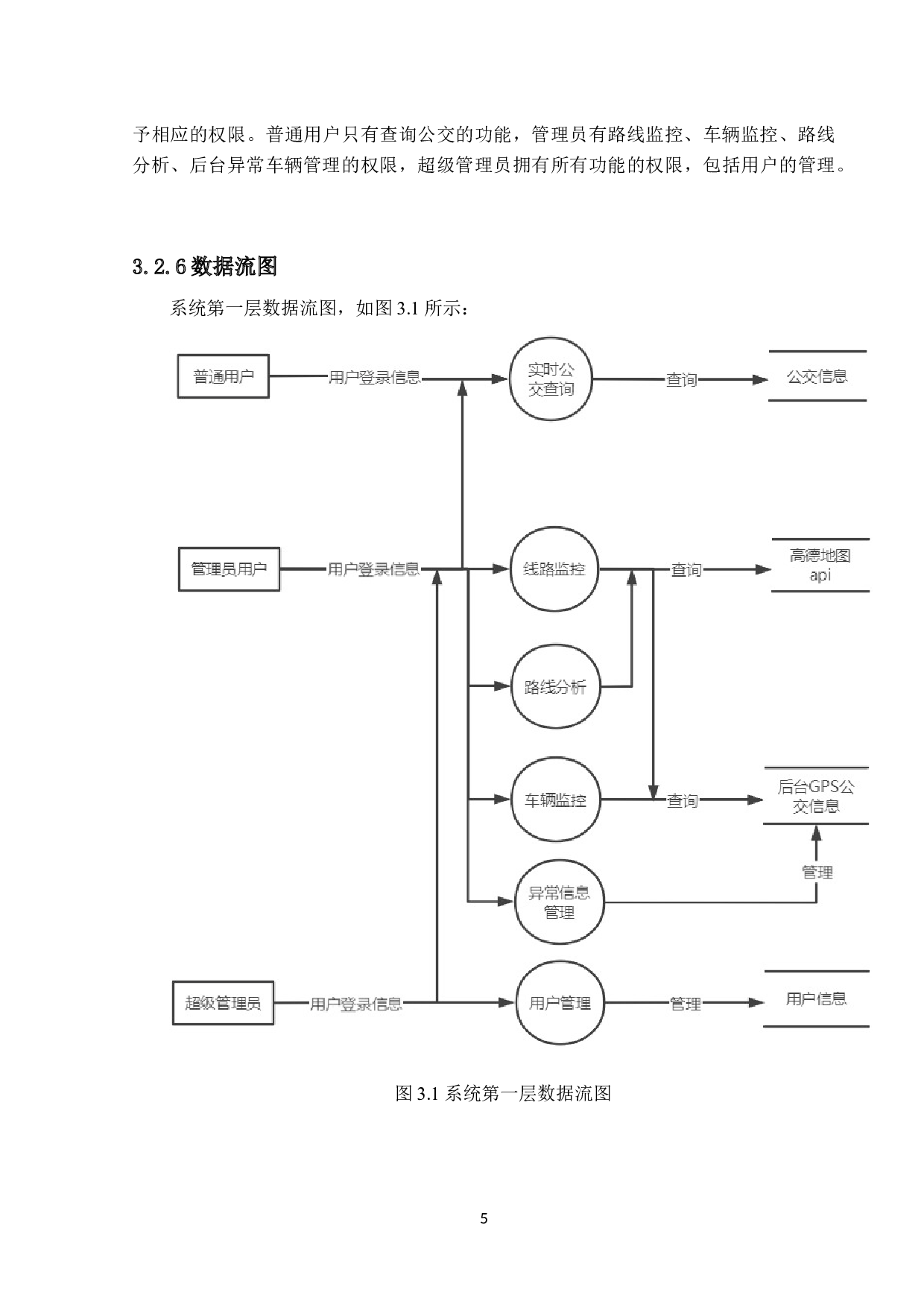
EE平台的公交车辆运行监控系统的设计与实现-12014字.docx 第4页
EE平台的公交车辆运行监控系统的设计与实现-12014字.docx 第5页
EE平台的公交车辆运行监控系统的设计与实现-12014字.docx 第6页
EE平台的公交车辆运行监控系统的设计与实现-12014字.docx 第7页
EE平台的公交车辆运行监控系统的设计与实现-12014字.docx 第8页
EE平台的公交车辆运行监控系统的设计与实现-12014字.docx 第9页
EE平台的公交车辆运行监控系统的设计与实现-12014字.docx 第10页
剩余26页未读, 下载浏览全部
摘 要 随着经济和城市化地高速发展,市民有多种的出行方式,其中最为重要的是公交车出行。城市公交车需求的数量在快速地增长,它每天会产生大量的实时运行数据急需计算机系统做及时的处理。由于公交车的实时情况需要立即反馈到后台管理人员,通过直观易懂的方式来进行展示,所以公交车辆运行监控系统的开发便尤为重要。这有利于管理者去安排更高效的公交出行时刻,来节省人们日常工作生活的出行时间,提升市民的生活质量。 本项目采用SpringBoot框架开发项目,以MySQL作为后台数据库。本系统主要包含以下功能模块:实时公交查询模块,实
EE平台的公交车辆运行监控系统的设计与实现-12014字.docx