文库 农业 农业经济管理

运城市地区苹果产业升级路径分析-13667字.docx

DOCX   19页   下载0   2025-10-29   浏览63   收藏0   点赞0   评分-   17829字   6积分
温馨提示:当前文档最多只能预览 10 页,若文档总页数超出了 10 页,请下载原文档以浏览全部内容。
运城市地区苹果产业升级路径分析-13667字.docx 第1页
运城市地区苹果产业升级路径分析-13667字.docx 第2页
运城市地区苹果产业升级路径分析-13667字.docx 第3页
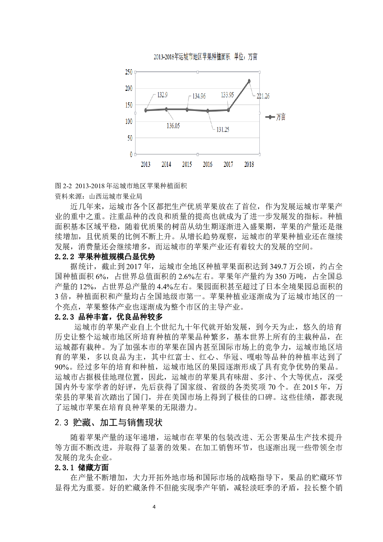
运城市地区苹果产业升级路径分析-13667字.docx 第4页
运城市地区苹果产业升级路径分析-13667字.docx 第5页
运城市地区苹果产业升级路径分析-13667字.docx 第6页
运城市地区苹果产业升级路径分析-13667字.docx 第7页
运城市地区苹果产业升级路径分析-13667字.docx 第8页
运城市地区苹果产业升级路径分析-13667字.docx 第9页
运城市地区苹果产业升级路径分析-13667字.docx 第10页
剩余9页未读, 下载浏览全部
运城市地区苹果产业升级路径分析 摘 要 我国的经济发展越来越快,农产品市场化程度也进一步加深。越来越多的人们开始注重农产品的价值,农产品在国内甚至国际市场上的竞争也越发激烈。农产品如果想更好地走向市场, 如何为 生产者带来更多的利益,就显得尤为重要。 苹果产业作为运城市的主导产业,对于运城市的经济发展有着重要的作用。当地的人们种植苹果和加工苹果农副产品有着几十年的历史,经验丰富。近几年,根据运城市的发展规划和对苹果产业的重视,苹果的种植面积同上个世纪90年代相比,有了翻天覆地的变化,人们的生活也随着产
运城市地区苹果产业升级路径分析-13667字.docx