文库 计算机 大数据

基于深度学习的道路线识别及目标检测.pdf

2022及前全 PDF   44页   下载0   2026-01-13   浏览3   收藏0   点赞0   评分-   55729字   20.00
温馨提示:当前文档最多只能预览 10 页,若文档总页数超出了 10 页,请下载原文档以浏览全部内容。
基于深度学习的道路线识别及目标检测.pdf 第1页
基于深度学习的道路线识别及目标检测.pdf 第2页
基于深度学习的道路线识别及目标检测.pdf 第3页
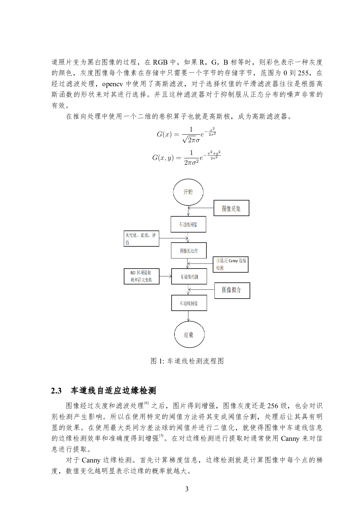
基于深度学习的道路线识别及目标检测.pdf 第4页
基于深度学习的道路线识别及目标检测.pdf 第5页
基于深度学习的道路线识别及目标检测.pdf 第6页
基于深度学习的道路线识别及目标检测.pdf 第7页
基于深度学习的道路线识别及目标检测.pdf 第8页
基于深度学习的道路线识别及目标检测.pdf 第9页
基于深度学习的道路线识别及目标检测.pdf 第10页
剩余34页未读, 下载浏览全部
? ?? 目标检测e4(}D??N??Mc?L?7????<4c目的目标D7? p<6 ?6B?f目标?5?的E?0A?eA?1?p????N?的q??.J0??G>^)?^的/tP L "j??c+^于?7n识别=目标检3X=?P?P?1N??C?f??73C??V5>?P 的?+^?+^>^目??# c?60e?A?A?(??的V51?# ?L60e基于 深度学习的目标检测>?J基于深度学习的检测?Fp?]?vC?>b?基于深度 学习的1?# /E?道线F>??检测???0?目标检测 W??F+^ pythonE?,A?1?0 检测5 A???/ W???F6!??Q> O?~/道路线检测c?+^? Opencv W
基于深度学习的道路线识别及目标检测.pdf